Suppr超能文献

肿瘤驱动的立体定向放射治疗容积调强弧形治疗计划:中低剂量溢出的回归模型

Tumor-driven SRS VMAT planning: Regression models for intermediate and low dose spillage.

作者信息

Tavakoli Meysam, Wadi-Ramahi Shada, Ashmeg Sarah, Lalonde Ron, Siddiqui Zaid

机构信息

Department of Radiation Oncology and Winship Cancer Institute, Emory University, Atlanta, Georgia, USA.

Department of Radiation Oncology, University of Pittsburgh School of Medicine and UPMC Hillman Cancer Centre, Pittsburgh, Pennsylvania, USA.

出版信息

J Appl Clin Med Phys. 2025 Aug;26(8):e70184. doi: 10.1002/acm2.70184.

Abstract

PURPOSE

Stereotactic radiosurgery (SRS) for brain metastases using volumetric modulated arc therapy (VMAT) is increasingly utilized. While high-dose conformity guidelines relative to tumor volume exist, recommendations for intermediate and low-dose regions remain undefined. This study explores tumor-specific characteristics and new dosimetric parameters to develop regression models for standardizing intracranial SRS planning.

MATERIALS AND METHOD

We introduce two dosimetric quantities: R, the 6 Gy cloud volume ratio to the PTV, and %D, the maximum dose at 1 cm from the PTV relative to the prescribed dose. These, alongside R and the volume of normal brain receiving 12 Gy (V), were analyzed retrospectively in 290 VMAT SRS plans from 151 patients treated between January 2021 and September 2023. The data were stratified into single- and three- fraction arms. Statistical tests, including Spearman's rank correlation, and Normalized Mutual Information (NMI) evaluated relationships between dosimetric parameters, number of metastases (n), and total PTV volume, PTV. Significant correlations were modeled using regression analysis.

RESULTS

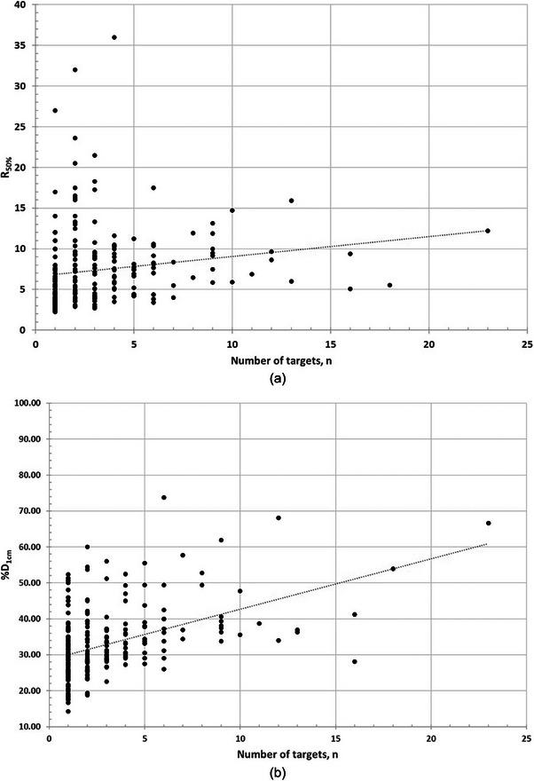
Strong correlations were found between PTV and all dosimetric metrics in the single-fraction arm; weaker but significant correlations were noted in the three-fraction arm. Power-law regression best described R and R, while linear regressions best described %D and V. Moderate monotonic correlations were observed between n and the dosimetric metrics.

CONCLUSION

This study proposes regression-based models for predicting dose spill based on tumor burden, total PTV volume and number of targets. These models provide a framework for model-based SRS planning, offering clinical physicists patient-specific guidance to improve consistency, optimize plan quality, and support future standardization efforts.

摘要

目的

使用容积调强弧形放疗(VMAT)进行脑转移瘤的立体定向放射外科治疗(SRS)的应用越来越广泛。虽然存在相对于肿瘤体积的高剂量适形性指南,但关于中低剂量区域的建议仍不明确。本研究探索肿瘤特异性特征和新的剂量学参数,以开发用于标准化颅内SRS计划的回归模型。

材料与方法

我们引入了两个剂量学量:R,6 Gy剂量云体积与计划靶体积(PTV)的比值,以及%D,距PTV 1 cm处的最大剂量相对于处方剂量的比值。在2021年1月至2023年9月期间接受治疗的151例患者的290个VMAT SRS计划中,对这些参数以及R和接受12 Gy照射的正常脑体积(V)进行了回顾性分析。数据被分层为单次分割和三次分割组。统计检验,包括Spearman等级相关性和归一化互信息(NMI),评估了剂量学参数、转移灶数量(n)和总PTV体积(PTV)之间的关系。使用回归分析对显著相关性进行建模。

结果

在单次分割组中,PTV与所有剂量学指标之间存在强相关性;在三次分割组中,相关性较弱但显著。幂律回归最能描述R和R,而线性回归最能描述%D和V。在n与剂量学指标之间观察到中度单调相关性。

结论

本研究提出了基于回归模型,用于根据肿瘤负荷、总PTV体积和靶区数量预测剂量溢出。这些模型为基于模型的SRS计划提供了一个框架,为临床物理师提供患者特异性指导,以提高一致性、优化计划质量,并支持未来的标准化工作。

https://cdn.ncbi.nlm.nih.gov/pmc/blobs/a698/12313394/35464079203d/ACM2-26-e70184-g002.jpg

文献AI研究员

20分钟写一篇综述,助力文献阅读效率提升50倍。

立即体验

用中文搜PubMed

大模型驱动的PubMed中文搜索引擎

马上搜索

文档翻译

学术文献翻译模型,支持多种主流文档格式。

立即体验