Suppr超能文献

生蒜、陈蒜和发酵蒜的抗菌及抗氧化特性:加工方法的影响

The Antimicrobial and Antioxidant Properties of Raw, Aged, and Fermented Garlic: Influence of Processing Methods.

作者信息

Cocom Luis M, Wang Hsiao-Chi, Tseng Kuo-Chan, Chu Yung-Lin

机构信息

Department of Tropical Agriculture and International Cooperation, International College National Pingtung University of Science and Technology Pingtung City Taiwan.

Department of Beauty Science, College of Health National Taichung University of Science and Technology Taichung Taiwan.

出版信息

Food Sci Nutr. 2025 Jul 31;13(8):e70743. doi: 10.1002/fsn3.70743. eCollection 2025 Aug.

Abstract

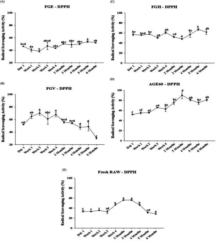
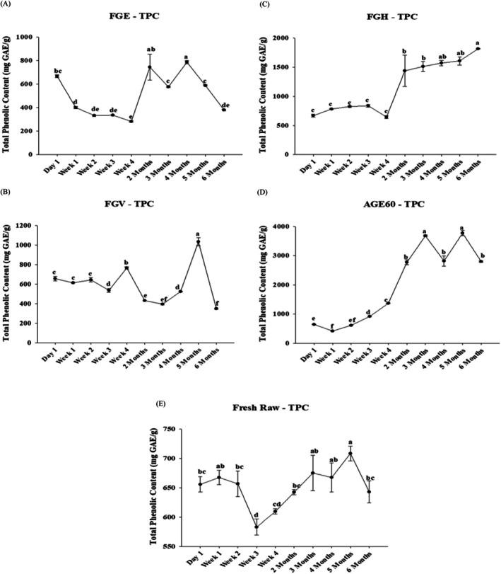
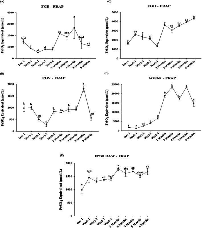
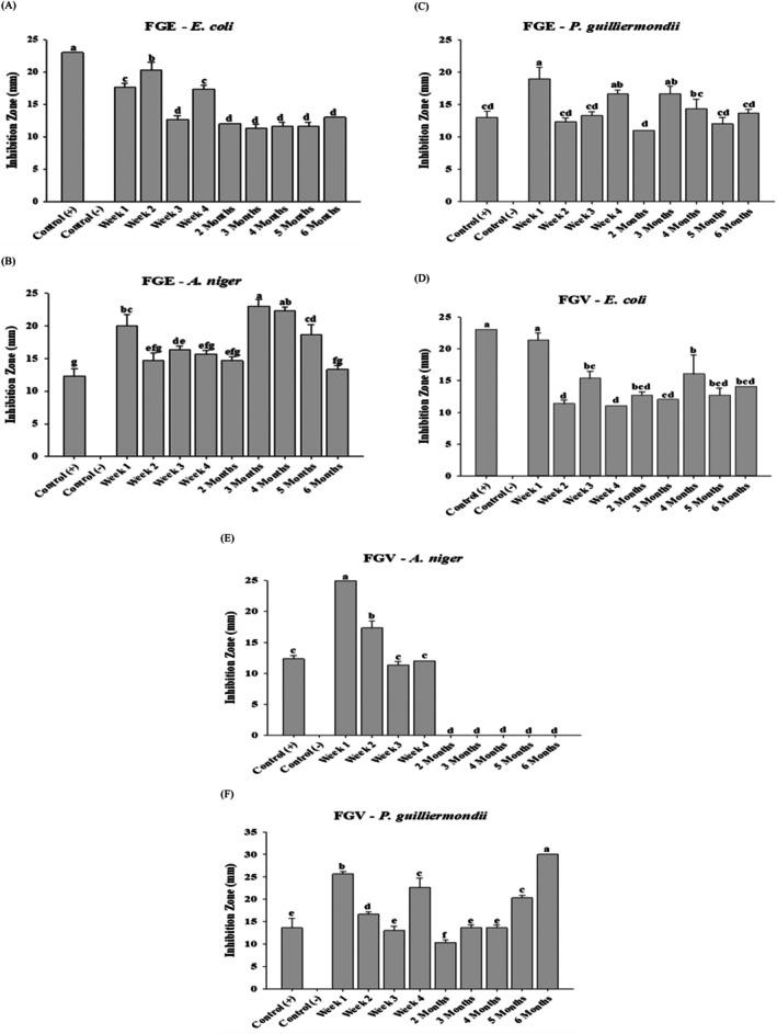
Garlic ( L.) is widely recognized for its bioactive properties, primarily attributed to its sulfur-containing compounds (SCs), which provide both prophylactic and therapeutic benefits. This study evaluates the antimicrobial and antioxidant activities of raw, aged, and fermented garlic, utilizing ultrasound-assisted extraction (UAE). Processed garlic samples, including fermented garlic in fruit vinegar (FGV), honey (FGH), ethanol (FGE), aged garlic (AGE60), and fresh raw garlic (RAW), were analyzed to determine the effects of different processing methods on their functional properties. Antimicrobial activity was assessed using the agar well diffusion method to measure inhibition zones (IZ) and microdilution techniques to determine the minimum inhibitory concentration (MIC) against , , and . The results indicate that FGV, FGH, FGE, and AGE60 exhibited notable antimicrobial activity, while RAW garlic demonstrated the strongest antimicrobial effects, primarily due to its high allicin content and other sulfur-containing organosulfur compounds (OSCs), which are recognized as potent antimicrobial agents. Antioxidant capacity was evaluated through free radical scavenging activity (RSA) using the 1,1-diphenyl-2-picrylhydrazyl (DPPH) assay, ferric reducing antioxidant power (FRAP), and total phenolic content (TPC). AGE60, FGH, and FGV exhibited the highest antioxidant activity, with fermentation and aging processes contributing to the production of flavonoids and phenolic compounds, thereby enhancing antioxidative capacity. However, these processing methods did not significantly improve antimicrobial properties. These findings highlight the impact of processing methods on garlic's functional properties, suggesting that different processing techniques may be tailored to optimize specific health benefits.

摘要

大蒜(L.)因其生物活性特性而被广泛认可,其主要归因于含硫化合物(SCs),这些化合物具有预防和治疗功效。本研究利用超声辅助提取(UAE)评估生蒜、陈化蒜和发酵蒜的抗菌和抗氧化活性。对经过处理的大蒜样品进行分析,包括水果醋发酵蒜(FGV)、蜂蜜发酵蒜(FGH)、乙醇发酵蒜(FGE)、陈化蒜(AGE60)和新鲜生蒜(RAW),以确定不同加工方法对其功能特性的影响。采用琼脂孔扩散法测量抑菌圈(IZ)评估抗菌活性,并使用微量稀释技术确定对 、 和 的最低抑菌浓度(MIC)。结果表明,FGV、FGH、FGE和AGE60表现出显著的抗菌活性,而生蒜表现出最强的抗菌效果,主要是因为其高蒜素含量和其他含硫有机硫化合物(OSCs),这些被认为是有效的抗菌剂。通过使用1,1-二苯基-2-苦基肼(DPPH)法的自由基清除活性(RSA)、铁还原抗氧化能力(FRAP)和总酚含量(TPC)评估抗氧化能力。AGE60、FGH和FGV表现出最高的抗氧化活性,发酵和陈化过程有助于黄酮类化合物和酚类化合物的产生,从而增强抗氧化能力。然而,这些加工方法并未显著改善抗菌性能。这些发现突出了加工方法对大蒜功能特性的影响,表明可以采用不同的加工技术来优化特定的健康益处。

https://cdn.ncbi.nlm.nih.gov/pmc/blobs/6542/12311394/5515ce04aaff/FSN3-13-e70743-g004.jpg

文献AI研究员

20分钟写一篇综述,助力文献阅读效率提升50倍。

立即体验

用中文搜PubMed

大模型驱动的PubMed中文搜索引擎

马上搜索

文档翻译

学术文献翻译模型,支持多种主流文档格式。

立即体验