Suppr超能文献

1990年至2021年中国及全球糖尿病负担的趋势与比较,并预测至2050年:全球疾病负担研究2021的系统分析

Trends and comparisons of diabetes burden in China and the world from 1990 to 2021,with forecasts to 2050:a systematic analysis of the global burden of disease study 2021.

作者信息

Liu Chenqing, Li Yun, Wang Nan, Wu Yandong, Liu Jiaqi, Ding Mengjie, Liu Shuhan, Hao Yibing, Wu Ying, Liu Shaopeng

机构信息

School of Public Health, North China University of Science and Technology, Tangshan, 063210, China.

School of Public Health, Wuhan University of Science and Technology, Wuhan, 430000, China.

出版信息

Diabetol Metab Syndr. 2025 Aug 2;17(1):309. doi: 10.1186/s13098-025-01885-4.

Abstract

BACKGROUND

Diabetes is a major global public health issue. This study investigated the trends in the age-and gender-specific burden of diabetes in China and worldwide from 1990 to 2021, and predicted the prevalence of diabetes in 2050.

METHODS

Using publicly available data from the Global Burden of Disease (GBD) database from 1990 to 2021, we comprehensively applied Joinpoint regression and age-period-cohort (APC) analysis to reveal the epidemiological characteristics, conducted decomposition analysis to identify the driving factors of burden changes, and used the autoregressive integrated moving average (ARIMA) model to project the disease burden of diabetes from 2022 to 2050.

RESULTS

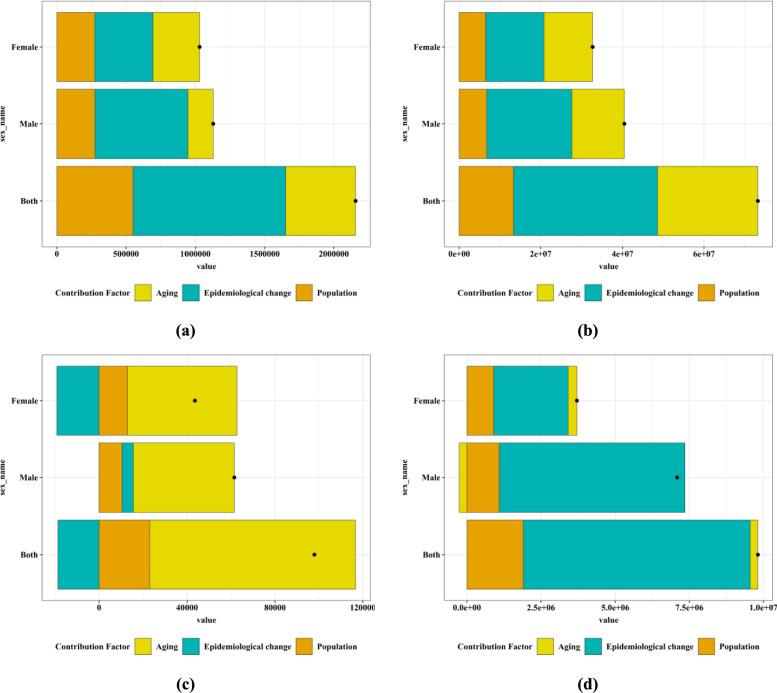
From 1990 to 2021, both in China and globally, the age-standardized incidence rate (ASIR), age-standardized prevalence rate (ASPR), and age-standardized disability-adjusted life year rate (ASDR) of diabetes showed an upward trend. In contrast, China's age-standardized mortality rate (ASMR) of diabetes decreased, while the global ASMR increased. The average annual percentage changes (AAPC) of China's ASIR, ASPR, ASMR, and ASDR were 1.29, 1.76,- 0.30, and 0.76% respectively, compared with 1.74, 2.10, 0.25, and 1.05% for the global diabetes burden.

CONCLUSIONS

In China, the incidence, prevalence, and Disability-Adjusted Life Years (DALYs) of diabetes increased, while the mortality rate decreased. It is projected that by 2050, the number of diabetes patients in China will reach 84.01 million, and globally, it will reach 1038.2 million. Given China's large population and the trend of population aging, it is essential to formulate targeted prevention and control strategies to address the challenge of diabetes.

摘要

背景

糖尿病是一个重大的全球公共卫生问题。本研究调查了1990年至2021年中国和全球糖尿病年龄和性别特异性负担的趋势,并预测了2050年糖尿病的患病率。

方法

利用1990年至2021年全球疾病负担(GBD)数据库中的公开数据,我们综合应用Joinpoint回归和年龄-时期-队列(APC)分析来揭示流行病学特征,进行分解分析以确定负担变化的驱动因素,并使用自回归积分移动平均(ARIMA)模型预测2022年至2050年糖尿病的疾病负担。

结果

1990年至2021年,中国和全球的糖尿病年龄标准化发病率(ASIR)、年龄标准化患病率(ASPR)和年龄标准化残疾调整生命年率(ASDR)均呈上升趋势。相比之下,中国糖尿病的年龄标准化死亡率(ASMR)下降,而全球ASMR上升。中国ASIR、ASPR、ASMR和ASDR的年均变化百分比(AAPC)分别为1.29%、1.76%、-0.30%和0.76%,而全球糖尿病负担的相应数据分别为1.74%、2.10%、0.25%和1.05%。

结论

在中国,糖尿病的发病率、患病率和残疾调整生命年(DALYs)增加,而死亡率下降。预计到2050年,中国糖尿病患者人数将达到8401万,全球将达到10.382亿。鉴于中国人口众多且人口老龄化趋势明显,制定针对性的预防和控制策略以应对糖尿病挑战至关重要。

https://cdn.ncbi.nlm.nih.gov/pmc/blobs/1d74/12317625/6a4147a7466c/13098_2025_1885_Fig1_HTML.jpg

文献AI研究员

20分钟写一篇综述,助力文献阅读效率提升50倍。

立即体验

用中文搜PubMed

大模型驱动的PubMed中文搜索引擎

马上搜索

文档翻译

学术文献翻译模型,支持多种主流文档格式。

立即体验