Suppr超能文献

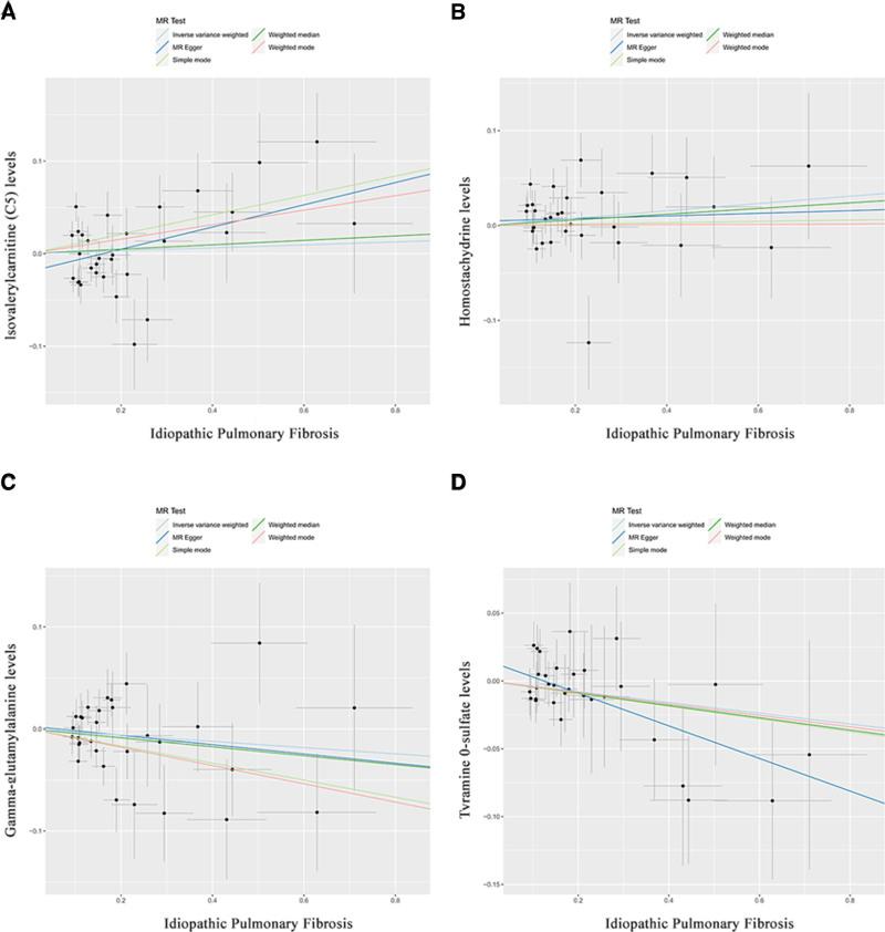
孟德尔随机化研究揭示了异戊酰肉碱(C5)水平升高与特发性肺纤维化风险之间的单向因果关联。

Mendelian randomization revealed a one-way causal association between increased Isovalerylcarnitine (C5) levels and the risk of idiopathic pulmonary fibrosis.

作者信息

He Jing, Liao Zhengyue, Chen Hongyu, Fu Jiaojiao, Liu Sijing, Hua Ya'nan, Guo Jinlin

机构信息

Department of Medical Laboratory, Affiliated Guang'an District People's Hospital of North Sichuan Medical College, Guang'an, China.

College of Medical Technology, Chengdu University of Traditional Chinese Medicine, Chengdu, China.

出版信息

Medicine (Baltimore). 2025 Aug 8;104(32):e43555. doi: 10.1097/MD.0000000000043555.

Abstract

There have been multiple observational studies that have established a link between metabolite levels in the body and idiopathic pulmonary fibrosis (IPF), specifically focusing on metabolites derived from fatty acids. However, a complete understanding of the precise molecular and biological factors, as well as the causality between them, remains elusive. The main objective of our study was to evaluate the potential causal relationship between blood metabolites and IPF by using Mendelian randomization (MR). To achieve this goal, we utilized the most comprehensive genome-wide association study to date, which identified genetic variants associated with blood metabolites (1091 blood metabolites and 309 metabolite ratios). Summary statistics of IPF were collected from Finngen R8 (1812 IPF patients and 338,784 controls), inverse variance weighted method (IVW) is used as the main method in determining causality. Isovalerylcarnitine (C5) levels (OR = 1.2435, 95% CI: 1.0494-1.4736, Pval = .0119) was found significantly related to higher risk of IPF. There was no significant heterogeneity in our study (IVW method: Pval = .132; MR-Egger method: Pval = .105) and horizontal pleiotropy (β = -0.027; SE = 0.0337; Pval = .4310). The sensitivity analysis did not reveal any potential abnormal drivers (0.1 < All < 0.3). Two-sample MR method demonstrated the causal relationship between blood metabolites and IPF, and further studies found that Isovalerylcarnitine (C5) levels, as a potential biological risk factor for IPF, may provide a new target for the treatment of IPF.

摘要

已有多项观察性研究证实了体内代谢物水平与特发性肺纤维化(IPF)之间的联系,尤其关注脂肪酸衍生的代谢物。然而,对确切的分子和生物学因素以及它们之间的因果关系仍缺乏全面了解。我们研究的主要目的是通过孟德尔随机化(MR)评估血液代谢物与IPF之间的潜在因果关系。为实现这一目标,我们利用了迄今为止最全面的全基因组关联研究,该研究确定了与血液代谢物相关的基因变异(1091种血液代谢物和309种代谢物比率)。IPF的汇总统计数据来自芬兰基因库R8(1812例IPF患者和338784例对照),逆方差加权法(IVW)被用作确定因果关系的主要方法。发现异戊酰肉碱(C5)水平(OR = 1.2435,95%CI:1.0494 - 1.4736,P值 = 0.0119)与IPF的较高风险显著相关。我们的研究中没有显著的异质性(IVW法:P值 = 0.132;MR-Egger法:P值 = 0.105)和水平多效性(β = -0.027;SE = 0.0337;P值 = 0.4310)。敏感性分析未发现任何潜在的异常驱动因素(0.1 < 所有值 < 0.3)。两样本MR方法证明了血液代谢物与IPF之间的因果关系,进一步研究发现异戊酰肉碱(C5)水平作为IPF的潜在生物学危险因素,可能为IPF的治疗提供新靶点。

https://cdn.ncbi.nlm.nih.gov/pmc/blobs/40c7/12338245/16e44b2fccd1/medi-104-e43555-g001.jpg

文献AI研究员

20分钟写一篇综述,助力文献阅读效率提升50倍。

立即体验

用中文搜PubMed

大模型驱动的PubMed中文搜索引擎

马上搜索

文档翻译

学术文献翻译模型,支持多种主流文档格式。

立即体验