Suppr超能文献

全氟和多氟烷基物质、社会及行为因素对肝脏健康的综合影响

Combined Effects of PFAS, Social, and Behavioral Factors on Liver Health.

作者信息

Marfo Akua, Obeng-Gyasi Emmanuel

机构信息

Department of Built Environment, North Carolina A&T State University, Greensboro, NC 27411, USA.

Environmental Health and Disease Laboratory, North Carolina A&T State University, Greensboro, NC 27411, USA.

出版信息

Med Sci (Basel). 2025 Jul 28;13(3):99. doi: 10.3390/medsci13030099.

Abstract

BACKGROUND

Environmental exposures, such as per- and polyfluoroalkyl substances (PFAS), in conjunction with social and behavioral factors, can significantly impact liver health. This research investigates the combined effects of PFAS (perfluorooctanoic acid (PFOA) and perfluorooctane sulfonate (PFOS), alcohol consumption, smoking, income, and education on liver function among the U.S. population, utilizing data from the 2017-2018 National Health and Nutrition Examination Survey (NHANES).

METHODS

PFAS concentrations in blood samples were analyzed using online solid-phase extraction combined with liquid chromatography-tandem mass spectrometry (LC-MS/MS), a highly sensitive and specific method for detecting levels of PFAS. Liver function was evaluated using biomarkers such as alanine aminotransferase (ALT), aspartate aminotransferase (AST), alkaline phosphatase (ALP), gamma-glutamyltransferase (GGT), total bilirubin, and the fatty liver index (FLI). Descriptive statistics and multivariable linear regression analyses were employed to assess the associations between exposures and liver outcomes. Bayesian Kernel Machine Regression (BKMR) was utilized to explore the nonlinear and interactive effects of these exposures. To determine the relative influence of each factor on liver health, Posterior Inclusion Probabilities (PIPs) were calculated.

RESULTS

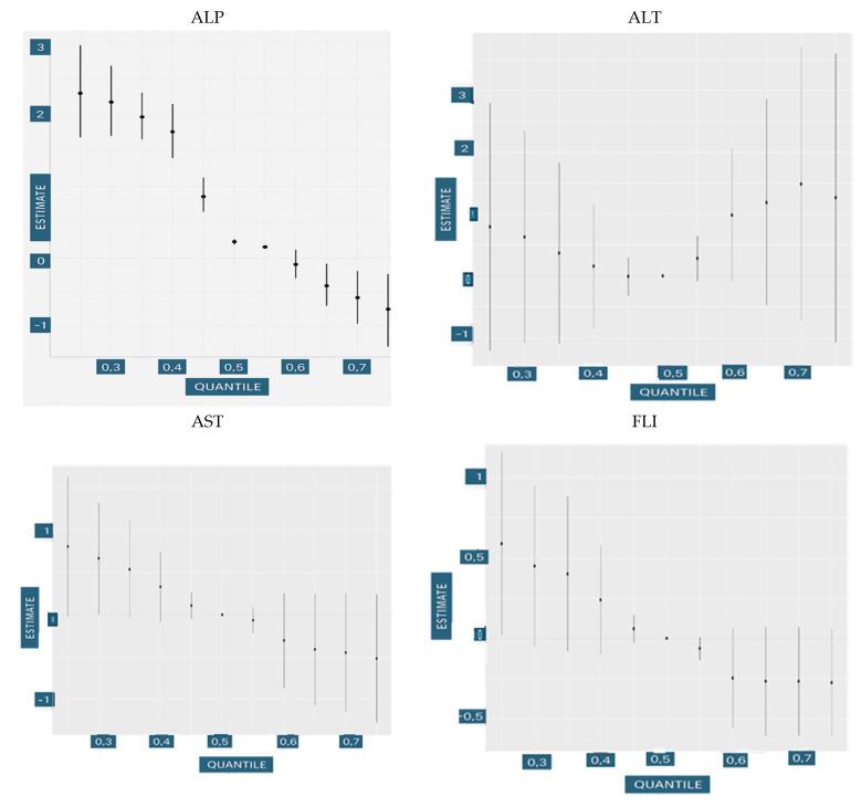
Linear regression analyses indicated that income and education were inversely associated with several liver injury biomarkers, while alcohol use and smoking demonstrated stronger and more consistent associations. Bayesian Kernel Machine Regression (BKMR) further highlighted alcohol and smoking as the most influential predictors, particularly for GGT and total bilirubin, with posterior inclusion probabilities (PIPs) close to 1.0. In contrast, PFAS showed weaker associations. Regression coefficients were small and largely non-significant, and PIPs were comparatively lower across most liver outcomes. Notably, education had a higher PIP for ALT and GGT than PFAS, suggesting a more protective role in liver health. People with higher education levels tend to live healthier lifestyles, have better access to healthcare, and are generally more aware of health risks. These factors can all help reduce the risk of liver problems. Overall mixture effects demonstrated nonlinear trends, including U-shaped relationships for ALT and GGT, and inverse associations for AST, FLI, and ALP.

CONCLUSION

These findings underscore the importance of considering both environmental and social-behavioral determinants in liver health. While PFAS exposures remain a long-term concern, modifiable lifestyle and structural factors, particularly alcohol, smoking, income, and education, exert more immediate and pronounced effects on hepatic biomarkers in the general population.

摘要

背景

环境暴露,如全氟和多氟烷基物质(PFAS),与社会和行为因素相结合,会对肝脏健康产生重大影响。本研究利用2017 - 2018年美国国家健康和营养检查调查(NHANES)的数据,调查了PFAS(全氟辛酸(PFOA)和全氟辛烷磺酸(PFOS))、饮酒、吸烟、收入和教育对美国人群肝功能的综合影响。

方法

使用在线固相萃取结合液相色谱 - 串联质谱法(LC - MS/MS)分析血样中的PFAS浓度,这是一种检测PFAS水平的高灵敏度和特异性方法。使用丙氨酸氨基转移酶(ALT)、天冬氨酸氨基转移酶(AST)、碱性磷酸酶(ALP)、γ-谷氨酰转移酶(GGT)、总胆红素和脂肪肝指数(FLI)等生物标志物评估肝功能。采用描述性统计和多变量线性回归分析来评估暴露因素与肝脏结局之间的关联。利用贝叶斯核机器回归(BKMR)探索这些暴露因素的非线性和交互作用。为了确定每个因素对肝脏健康的相对影响,计算了后验包含概率(PIP)。

结果

线性回归分析表明,收入和教育与几种肝损伤生物标志物呈负相关,而饮酒和吸烟显示出更强且更一致的关联。贝叶斯核机器回归(BKMR)进一步强调饮酒和吸烟是最有影响力的预测因素,特别是对于GGT和总胆红素,后验包含概率(PIP)接近1.0。相比之下,PFAS的关联较弱。回归系数较小且大多无统计学意义,并且在大多数肝脏结局中PIP相对较低。值得注意的是,教育对ALT和GGT的PIP高于PFAS,表明在肝脏健康方面具有更强的保护作用。受过高等教育的人往往生活方式更健康,获得医疗保健的机会更好,并且通常更了解健康风险。这些因素都有助于降低肝脏问题的风险。总体混合效应呈现非线性趋势,包括ALT和GGT的U形关系,以及AST、FLI和ALP的负相关关系。

结论

这些发现强调了在肝脏健康中考虑环境和社会行为决定因素的重要性。虽然PFAS暴露仍然是一个长期关注的问题,但可改变的生活方式和结构因素,特别是饮酒、吸烟、收入和教育,对普通人群的肝脏生物标志物产生更直接和明显的影响。

https://cdn.ncbi.nlm.nih.gov/pmc/blobs/9d05/12372029/ae6ed697dbde/medsci-13-00099-g001a.jpg

文献AI研究员

20分钟写一篇综述,助力文献阅读效率提升50倍。

立即体验

用中文搜PubMed

大模型驱动的PubMed中文搜索引擎

马上搜索

文档翻译

学术文献翻译模型,支持多种主流文档格式。

立即体验