Suppr超能文献

采用新型聚甲基丙烯酸甲酯-沸石应用增强专业牙周治疗:关于牙周治疗效果和微生物变化的临床研究

Enhancing Professional Periodontal Therapy with a Novel PMA-Zeolite Application: A Clinical Study on Periodontal Outcomes and Microbiological Changes.

作者信息

Đapić Ines, Aurer Andrej, Žučko Jurica, Mravak-Stipetić Marinka, Baranović Baričević Marinka, Pavelić Krešimir, Ozer Fusun, Kraljević Pavelić Sandra

机构信息

Department of Periodontology, University of Zagreb School of Dental Medicine, 10000 Zagreb, Croatia.

Faculty of Food Technology and Biotechnology, University of Zagreb, 10000 Zagreb, Croatia.

出版信息

J Funct Biomater. 2025 Jul 22;16(8):270. doi: 10.3390/jfb16080270.

Abstract

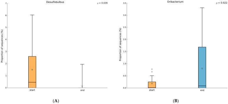
Periodontitis is a chronic, multifactorial inflammatory disease characterized by the progressive destruction of the periodontal supporting tissues, including alveolar bone, potentially resulting in tooth loss. Etiopathogenesis involves a dysbiotic shift in the subgingival microbiota where the presence of pathogenic species such as , , and has been documented. This disbalance is combined with an inadequate host immune response, often exacerbated by other systemic comorbidities including diabetes mellitus and cardiovascular diseases. Conventional therapy typically comprises mechanical debridement and adjunctive local or systemic antimicrobials, but emerging antibiotic resistance highlights a need for alternative adjuvant therapeutic strategies. The present descriptive analysis of microbiome and clinical trends study evaluated the adjuvant effects of a clinoptilolite-based zeolite material, namely PMA-zeolite, with professional prophylaxis on clinical and microbiological parameters in patients with chronic periodontitis over a 10-week period. Clinical assessment revealed significant reductions in bleeding on probing (BoP) and periodontal pocket depth (PD), indicating improved inflammatory status. Microbiome profiling demonstrated a marked decrease in key periodontal pathogens, suggesting that PMA-zeolite can help rebalance the oral microbiome. These findings suggest that the combined therapy exhibits promising anti-inflammatory and antimicrobial properties, indicating its role in promoting microbial homeostasis and reducing periodontal inflammation. However, further investigation through larger, controlled clinical trials is needed to validate the efficacy of the therapy.

摘要

牙周炎是一种慢性、多因素炎症性疾病,其特征是牙周支持组织(包括牙槽骨)进行性破坏,最终可能导致牙齿脱落。病因发病机制涉及龈下微生物群的生态失调,已记录到诸如 、 和 等致病菌种的存在。这种失衡与宿主免疫反应不足相结合,常因包括糖尿病和心血管疾病在内的其他全身性合并症而加剧。传统治疗通常包括机械清创以及辅助性局部或全身使用抗菌药物,但新出现的抗生素耐药性凸显了对替代辅助治疗策略的需求。本微生物组和临床趋势的描述性分析研究评估了一种基于斜发沸石的沸石材料(即PMA-沸石)与专业预防措施联合使用对慢性牙周炎患者在10周内临床和微生物学参数的辅助作用。临床评估显示探诊出血(BoP)和牙周袋深度(PD)显著降低,表明炎症状态有所改善。微生物组分析表明关键牙周病原体显著减少,这表明PMA-沸石有助于恢复口腔微生物组的平衡。这些发现表明联合治疗具有有前景的抗炎和抗菌特性,表明其在促进微生物稳态和减少牙周炎症方面的作用。然而,需要通过更大规模的对照临床试验进行进一步研究,以验证该治疗方法的疗效。

https://cdn.ncbi.nlm.nih.gov/pmc/blobs/f9ba/12387170/1158237e4179/jfb-16-00270-g001.jpg

文献AI研究员

20分钟写一篇综述,助力文献阅读效率提升50倍。

立即体验

用中文搜PubMed

大模型驱动的PubMed中文搜索引擎

马上搜索

文档翻译

学术文献翻译模型,支持多种主流文档格式。

立即体验