Suppr超能文献

四环抗癌氮杂吩噻嗪类化合物亲脂性的研究

Study of the Lipophilicity of Tetracyclic Anticancer Azaphenothiazines.

作者信息

Jeleń Małgorzata, Morak-Młodawska Beata, Dołowy Małgorzata, Konefał Adam

机构信息

Department of Organic Chemistry, Faculty of Pharmaceutical Sciences in Sosnowiec, Medical University of Silesia in Katowice, Jagiellońska Street 4, 41-200 Sosnowiec, Poland.

Department of Analytical Chemistry, Faculty of Pharmaceutical Sciences in Sosnowiec, Medical University of Silesia in Katowice, Jagiellońska 4, 41-200 Sosnowiec, Poland.

出版信息

Biomolecules. 2025 Aug 19;15(8):1194. doi: 10.3390/biom15081194.

Abstract

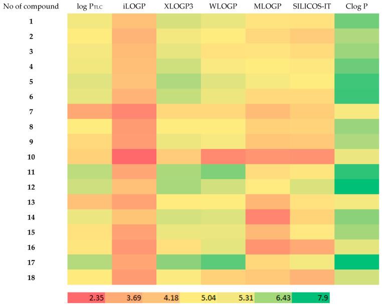
Although chlorpromazine is primarily used in psychiatry, it has been shown since its introduction to influence the course of neoplastic diseases. According to the strategy of drug repurposing, chlorpromazine has been successfully tested for its potential antitumor effects on multiple cancer cell lines. This effect is consistent with the overlap of molecular pathways observed for years between schizophrenia and cancer. The main objective of this work was to evaluate the lipophilicity of 17 previously synthesized tetracyclic chlorpromazine analogues exhibiting diverse anticancer and antimicrobial activity using thin-layer chromatography and computational methods. For a compound to become an effective drug, it must have a favorable ADMET profile, which determines its pharmacokinetic properties as a drug candidate. Lipophilicity is one of the key parameters widely employed in designing new bioactive compounds as potential therapeutic agents. In this article, chromatographic plates precoated with silica gel 60 RP-18F and a mixture of acetone and TRIS buffer were used as the mobile phase. The chromatographic parameter of lipophilicity (R) of the investigated compounds determined by means of the Soczewinski-Wachtmeister formula was useful to obtain the values of the experimental lipophilicity parameter expressed as logP. The results of logP were compared with theoretical values of logP obtained using different algorithms (iLOGP, XLOGP3, WLOGP, MLOGP, SILCOS-IT, and ClogP). Furthermore, the online platforms, such as SwissADME and pkCSM, allowed the determination of the remaining ADME parameters of the quinoline derivatives of chlorpromazine. The study of lipophilicity and ADME factors enabled confirmation that the tested compounds demonstrated favorable properties. Therefore, they can be considered as promising starting structures for further studies.

摘要

尽管氯丙嗪主要用于精神病学领域,但自其问世以来,已显示出对肿瘤疾病进程有影响。根据药物重新利用策略,氯丙嗪已成功在多种癌细胞系上测试其潜在的抗肿瘤作用。这种作用与多年来在精神分裂症和癌症之间观察到的分子途径重叠相一致。这项工作的主要目的是使用薄层色谱法和计算方法评估17种先前合成的具有不同抗癌和抗菌活性的四环氯丙嗪类似物的亲脂性。一种化合物要成为有效的药物,必须具有良好的ADMET特性,这决定了其作为候选药物的药代动力学性质。亲脂性是设计新型生物活性化合物作为潜在治疗剂时广泛使用的关键参数之一。在本文中,预涂有硅胶60 RP - 18F的色谱板以及丙酮和TRIS缓冲液的混合物用作流动相。通过索切夫斯基 - 瓦赫特迈斯特公式确定的所研究化合物的亲脂性色谱参数(R)有助于获得以logP表示的实验亲脂性参数值。将logP的结果与使用不同算法(iLOGP、XLOGP3、WLOGP、MLOGP、SILCOS - IT和ClogP)获得的logP理论值进行比较。此外,诸如SwissADME和pkCSM等在线平台可以确定氯丙嗪喹啉衍生物的其余ADMET参数。亲脂性和ADME因素的研究证实了测试化合物具有良好的特性。因此,它们可被视为有前途的起始结构用于进一步研究。

https://cdn.ncbi.nlm.nih.gov/pmc/blobs/6493/12384454/ee3c46767ce8/biomolecules-15-01194-g001.jpg

文献AI研究员

20分钟写一篇综述,助力文献阅读效率提升50倍。

立即体验

用中文搜PubMed

大模型驱动的PubMed中文搜索引擎

马上搜索

文档翻译

学术文献翻译模型,支持多种主流文档格式。

立即体验