Suppr超能文献

通过原位马来酸酐接枝改性的聚(己二酸丁二醇酯-对苯二甲酸丁二醇酯)-聚乳酸共混物的结构、力学性能和流变特性

Structure, Mechanical Properties, and Rheological Characteristics of Poly(Butylene Adipate-co-Terephthalate)-Polylactic Acid Blends Modified via In Situ Maleic Anhydride Grafting.

作者信息

Jin Min, Qi Bei, Chen Kang, Cao Lijun, Chen Pengrui, Sun Ce, Zhan Jianfeng, Shao Zhuofeng, Tan Haiyan, Zhang Yanhua

机构信息

Fujian Dazhuang Bamboo Industry Technology Co., Ltd., Jian'ou 353100, China.

State Key Laboratory of Woody Oil Resources Utilization, Northeast Forestry University, Harbin 150040, China.

出版信息

Polymers (Basel). 2025 Aug 21;17(16):2264. doi: 10.3390/polym17162264.

Abstract

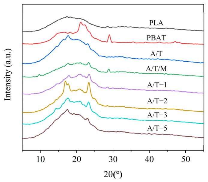
Polylactic acid (PLA) materials face inherent limitations in many applications due to their low toughness. To address this challenge, this study employed a reactive melt-grafting method to prepare maleic anhydride (MA)-grafted poly(butylene adipate-co-terephthalate) (PBAT-MA), providing an effective approach to improve the interfacial compatibility between PLA and PBAT, thereby significantly enhancing the toughness and impact resistance of PLA and expanding its application scope. The grafting reaction process of PBAT-MA was investigated, as well as its toughening mechanism and effect on PLA. The results showed that at a maleic anhydride concentration of 2 wt%, the obtained PLA-PBAT-MA composite material exhibited the best performance, with a fracture elongation of 358.1%, 450.4% higher than that of the unmodified composite material. The impact strength was 333.9 kJ/m, 917.3% higher than that of the unmodified composite material. This enhanced effect is attributed to the optimal MA concentration preserving the tough structure of PBAT while effectively bridging the interface between PLA and PBAT, promoting efficient stress transfer between the two phases, and ultimately achieving exceptional toughness.

摘要

聚乳酸(PLA)材料由于其低韧性,在许多应用中面临固有的局限性。为应对这一挑战,本研究采用反应性熔融接枝法制备了马来酸酐(MA)接枝的聚(己二酸丁二醇酯-co-对苯二甲酸丁二醇酯)(PBAT-MA),提供了一种有效方法来改善PLA与PBAT之间的界面相容性,从而显著提高PLA的韧性和抗冲击性,并扩大其应用范围。研究了PBAT-MA的接枝反应过程,以及其增韧机理和对PLA的影响。结果表明,在马来酸酐浓度为2 wt%时,所得的PLA-PBAT-MA复合材料表现出最佳性能,断裂伸长率为358.1%,比未改性复合材料高450.4%。冲击强度为333.9 kJ/m,比未改性复合材料高917.3%。这种增强效果归因于最佳的MA浓度,它在保持PBAT坚韧结构的同时,有效地桥接了PLA与PBAT之间的界面,促进了两相之间的有效应力传递,最终实现了优异的韧性。

https://cdn.ncbi.nlm.nih.gov/pmc/blobs/b543/12389941/ac984c31d097/polymers-17-02264-g001.jpg

文献AI研究员

20分钟写一篇综述,助力文献阅读效率提升50倍。

立即体验

用中文搜PubMed

大模型驱动的PubMed中文搜索引擎

马上搜索

文档翻译

学术文献翻译模型,支持多种主流文档格式。

立即体验