Suppr超能文献

为什么长读长测序方法正在彻底改变微生物组分析?

Why Are Long-Read Sequencing Methods Revolutionizing Microbiome Analysis?

作者信息

González Adriana, Fullaondo Asier, Odriozola Adrian

机构信息

Department of Genetics, Physical Anthropology and Animal Physiology, University of the Basque Country (UPV/EHU), 48940 Bilbao, Spain.

出版信息

Microorganisms. 2025 Aug 9;13(8):1861. doi: 10.3390/microorganisms13081861.

Abstract

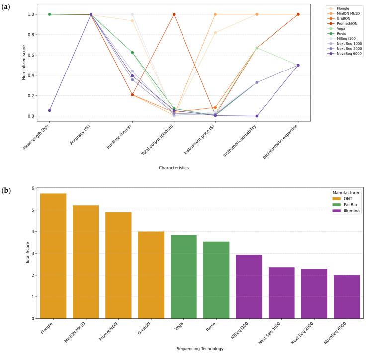
Most of the knowledge available on the composition and functionality of microbial communities in different ecosystems comes from short-read sequencing methods. It implies limitations regarding taxonomic resolution, variant detection, and genome assembly contiguity. Long-read sequencing technologies can overcome these limitations, transforming the analysis of microbial community composition and functionality. It is essential to understand the characteristics of each sequencing technology to select the most suitable one for each microbiome study. This review aims to show how long-read sequencing methods have revolutionized microbiome analysis in ecosystems and to provide a practical tool for selecting sequencing methods. To this end, the evolution of sequencing technologies, their advantages and disadvantages for microbiome studies, and the new dimensions enabled by long-read sequencing technologies, such as virome and epigenetic analysis, are described. Moreover, desirable characteristics for microbiome sequencing technologies are proposed, including a visual comparison of available sequencing platforms. Finally, amplicon and metagenomics approaches and the sequencing depth are discussed when using long-read sequencing technologies in microbiome studies. In conclusion, although no single sequencing method currently possesses all the ideal features for microbiome analysis in ecosystems, long-read sequencing technologies represent an advancement in key aspects, including longer read lengths, higher accuracy, shorter runtimes, higher output, more affordable costs, and greater portability. Therefore, more research using long-read sequencing is recommended to strengthen its application in microbiome analysis.

摘要

目前,关于不同生态系统中微生物群落组成和功能的大部分知识都来自短读长测序方法。这意味着在分类分辨率、变异检测和基因组组装连续性方面存在局限性。长读长测序技术可以克服这些局限性,改变微生物群落组成和功能的分析。了解每种测序技术的特点对于为每个微生物组研究选择最合适的技术至关重要。本综述旨在展示长读长测序方法如何彻底改变了生态系统中的微生物组分析,并提供一种选择测序方法的实用工具。为此,描述了测序技术的发展历程、它们在微生物组研究中的优缺点,以及长读长测序技术带来的新维度,如病毒组和表观遗传分析。此外,还提出了微生物组测序技术的理想特征,包括对现有测序平台的可视化比较。最后,讨论了在微生物组研究中使用长读长测序技术时的扩增子和宏基因组学方法以及测序深度。总之,虽然目前没有单一的测序方法具备生态系统中微生物组分析的所有理想特征,但长读长测序技术在关键方面取得了进展,包括更长的读长、更高的准确性、更短的运行时间、更高的产量、更实惠的成本和更大的便携性。因此,建议开展更多使用长读长测序的研究,以加强其在微生物组分析中的应用。

https://cdn.ncbi.nlm.nih.gov/pmc/blobs/1b48/12388134/298d4e2db1c9/microorganisms-13-01861-g001.jpg

文献AI研究员

20分钟写一篇综述,助力文献阅读效率提升50倍。

立即体验

用中文搜PubMed

大模型驱动的PubMed中文搜索引擎

马上搜索

文档翻译

学术文献翻译模型,支持多种主流文档格式。

立即体验