Suppr超能文献

胸腔内氧气检测可用于在电视辅助胸腔镜肺切除术后检测肺泡漏气情况。

Intrathoracic oxygen detects alveolar air leak following video-assisted thoracoscopic lung resection.

作者信息

Asahi Takehisa, Homma Takahiro, Matsumoto Kappei, Kato Susumu, Saji Hisashi

机构信息

Division of Anaesthesia, Joetsu General Hospital, Niigata, Japan.

Division of Thoracic Surgery, Joetsu General Hospital, Niigata, Japan.

出版信息

Sci Rep. 2025 Aug 30;15(1):31952. doi: 10.1038/s41598-025-16882-w.

Abstract

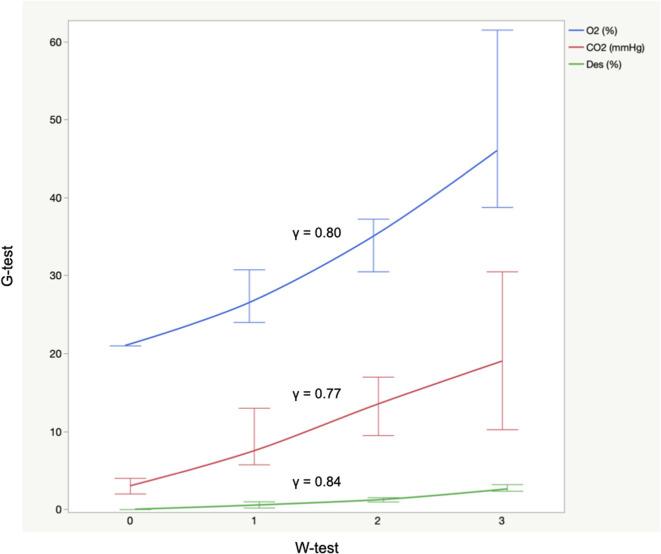
The water submersion test (W-test) has the risk of overlooking air leaks during lung resection. We assessed the relationship between alveolar air leakage and intrathoracic gas concentrations as a novel intraoperative air leak detection method. We compared the W-test results with intrathoracic gas concentrations of desflurane, oxygen (O2), and carbon dioxide (CO2), prospectively measured using a gas analyser built-in into the anaesthesia machine before and after lung resection. Eighty-eight patients were included; 32 patients had a positive W-test, 31 of whom had elevated levels of all three gases. Eight of the 56 W-test negative patients had elevated levels of all three gases and were positive in a reconfirmation W-test. After repair, 27/31 patients demonstrated negative W-tests, but two patients with elevated levels of all three gases concentrations had postoperative air leaks. When intrathoracic O2 concentration increased, all patients showed an air leak. Conversely, no air leak was detected when intrathoracic concentrations without O2 were measured. We found a positive correlation (correlation coefficients: desflurane, r = 0.84; O2, r = 0.80; CO2. r = 0.77) between the number of bubbles observed in the W-test and gas concentrations. Intrathoracic gas concentration measurements could be a useful alternative or complementary method to the W-test for detecting intraoperative alveolar air leaks. Given that high concentration O2 is frequently use for reinflate the collapsed lungs, intrathoracic O2 measurement could be the most effective way to detect alveolar leakage.

摘要

水浸试验(W试验)在肺切除术中存在忽视漏气的风险。我们评估了肺泡漏气与胸腔内气体浓度之间的关系,将其作为一种新型的术中漏气检测方法。我们将W试验结果与肺切除术前、后使用麻醉机内置气体分析仪前瞻性测量的地氟烷、氧气(O₂)和二氧化碳(CO₂)的胸腔内气体浓度进行了比较。纳入了88例患者;32例患者W试验呈阳性,其中31例患者三种气体水平均升高。56例W试验阴性患者中有8例三种气体水平均升高,在再次确认的W试验中呈阳性。修复后,31例患者中有27例W试验呈阴性,但有2例三种气体浓度均升高的患者术后出现漏气。当胸腔内O₂浓度升高时,所有患者均出现漏气。相反,在测量不含O₂的胸腔内浓度时未检测到漏气。我们发现W试验中观察到的气泡数量与气体浓度之间存在正相关(相关系数:地氟烷,r = 0.84;O₂,r = 0.80;CO₂,r = 0.77)。胸腔内气体浓度测量可能是一种用于检测术中肺泡漏气的有用的替代或补充方法,可替代W试验。鉴于高浓度O₂经常用于复张萎陷肺,胸腔内O₂测量可能是检测肺泡漏气的最有效方法。

https://cdn.ncbi.nlm.nih.gov/pmc/blobs/9959/12397291/c5d14192424d/41598_2025_16882_Fig1_HTML.jpg

文献AI研究员

20分钟写一篇综述,助力文献阅读效率提升50倍。

立即体验

用中文搜PubMed

大模型驱动的PubMed中文搜索引擎

马上搜索

文档翻译

学术文献翻译模型,支持多种主流文档格式。

立即体验