Suppr超能文献

硅与硒:硬粒小麦(Triticum durum Desf.)缓解渗透胁迫和干旱胁迫的比较研究。

Silicon vs. selenium: A comparative study in mitigating osmotic and drought stress in durum wheat (Triticum durum Desf.).

作者信息

Ajmi Chaima, Bouhaouel Imen, Othmani Afef, Amara Hajer Slim, Meftahizadeh Heidar, Ayed Sourour

机构信息

Field Crops Laboratory, University of Carthage, National Agricultural Research Institute of Tunisia, LR16-INRAT-02, Ariana, 2049, Tunisia.

Higher School of Agriculture of Mateur, University of Carthage, Tabarka Street, Mateur, 7030, Tunisia.

出版信息

BMC Plant Biol. 2025 Aug 30;25(1):1165. doi: 10.1186/s12870-025-07167-5.

Abstract

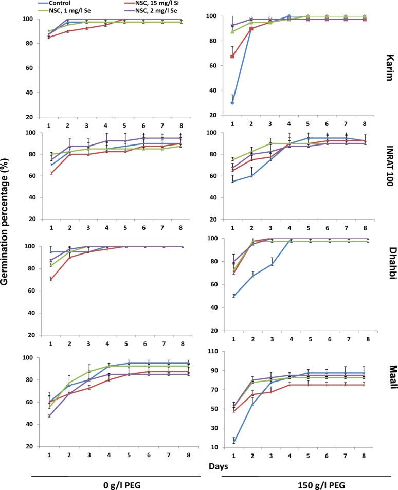
Silicon (Si) and selenium (Se) are recognized as beneficial elements that may significantly improve plant's tolerance to drought stress. However, their action and efficiency on germination, biometric and physiological attributes are rarely compared on durum wheat under water-deficit conditions. This study highlights the effect of Si (15 mg L) and Se (1 and 2 mg L) seed priming on germination kinetic of four durum wheat varieties ('Karim', 'Maali', 'INRAT100', and 'Dhahbi') under osmotic stress (150 g L PEG6000). In addition, a pot experiment was undertaken in the year 2019/2020 to examine the fertigation benefits of these elements on growth and physiological durum wheat performance, using the same concentrations under two water regimes (70 and 30% field capacity). Except for phenols, flavonoids and carotenoids contents, our results indicated that osmotic/drought stress induced considerable reductions in germination rate, root, shoot and leaf physiological attributes. However, these drastic impacts were altered through seed priming and fertigation of Si and Se (2 mg L). Se seed priming was more effective than that of Si, and inversely for the fertigation. These two nutrients Si and Se stimulated the elongation of roots (23.82%, 9.48%) better than that of shoots (20.55%, 10.44%), but improved the shoot fresh (27.79%, 10.37%) and dry weight (32%, 18.13%) better than that of roots. Specific interactions between studied traits were noted according to the water regime. In addition, genotype-specific effects of Si or Se were observed. The variety 'Karim', the lowest performing genotype, was the most receptive to stimulators. The positive changes resulting from Si and Se applications highlights the potential of these elements in boosting durum wheat plants to successfully acclimate to water-deficit conditions.

摘要

硅(Si)和硒(Se)被认为是有益元素,它们可能显著提高植物对干旱胁迫的耐受性。然而,在水分亏缺条件下,它们对硬粒小麦发芽、生物特征和生理特性的作用及效率鲜少被比较。本研究着重探讨了硅(15毫克/升)和硒(1毫克/升及2毫克/升)种子引发对4个硬粒小麦品种(‘卡里姆’、‘马利’、‘INRAT100’和‘达比’)在渗透胁迫(150克/升聚乙二醇6000)下萌发动力学的影响。此外,在2019/2020年进行了盆栽试验,以研究这些元素在两种水分状况(田间持水量的70%和30%)下,使用相同浓度进行施肥灌溉对硬粒小麦生长和生理性能的益处。除了酚类、黄酮类和类胡萝卜素含量外,我们的结果表明,渗透/干旱胁迫导致发芽率、根、茎和叶生理特性显著降低。然而,通过硅和硒(2毫克/升)的种子引发和施肥灌溉,这些严重影响得到了改变。硒种子引发比硅更有效,施肥灌溉则相反。这两种营养元素硅和硒对根伸长(23.82%,9.48%) 的促进作用优于对茎伸长(20.55%,10.44%),但对茎鲜重(27.79%,10.37%)和干重(32%,18.13%)的改善优于根。根据水分状况,观察到了所研究性状之间的特定相互作用。此外,还观察到了硅或硒的基因型特异性效应。表现最差的基因型‘卡里姆’品种对刺激剂最敏感。硅和硒应用带来的积极变化凸显了这些元素在促进硬粒小麦植株成功适应水分亏缺条件方面的潜力。

https://cdn.ncbi.nlm.nih.gov/pmc/blobs/e049/12398060/4eeff2e753a7/12870_2025_7167_Fig1_HTML.jpg

文献AI研究员

20分钟写一篇综述,助力文献阅读效率提升50倍。

立即体验

用中文搜PubMed

大模型驱动的PubMed中文搜索引擎

马上搜索

文档翻译

学术文献翻译模型,支持多种主流文档格式。

立即体验