Suppr超能文献

猪模型中非创伤性心脏骤停时的主动脉复苏性血管内球囊阻断术(REBOA):对自主循环恢复(ROSC)、短期生存、气体交换和血流动力学的影响

Resuscitative endovascular balloon oclusion of the aorta (REBOA) in non-traumatic cardiac arrest in a pig-model: Influence on Return of spontaneous circulation (ROSC) with short-term survival, gas exchange and hemodynamics.

作者信息

Manegold Randi Katrin, Scheene Philip, Wissmann Andreas, Al Rashid Fadi, von der Beck Birte, Pizanis Nikolaus, Kill Clemens, Risse Joachim

机构信息

Center of Emergency Medicine, University Hospital Essen, Essen, Germany.

Central Animal Laboratory, University Hospital Essen, Essen, Germany.

出版信息

PLoS One. 2025 Sep 2;20(9):e0330346. doi: 10.1371/journal.pone.0330346. eCollection 2025.

Abstract

BACKGROUND

Survival of out-of-hospital cardiac arrest (OHCA) remains poor even when bystander cardiopulmonary resuscitation (CPR) with chest compression is initiated. Chest compressions provide only reduced cardiac output with limited perfusion of heart and brain and therfore may not avoid both death or poor neurological outcome in prolonged CPR. We investigated the impact of resuscitative endovascular balloon occlusion of the aorta (REBOA) on hemodynamics, gas exchange and return of spontanous circulation (ROSC) with short-term survival during mechanical CPR (mCPR) with chest compression synchronized-ventilation (CCSV) in an atraumatic pig model.

METHODS

The study was performed on 20 pigs under general anaesthesia. REBOA catheter was placed in the thoracic aorta at the level of diaphragm beforecardiac arrest (CA) with ventricular fibrillation (VF) was induced. After 3 minutes of CA mCPR was started, CCSV was initiated at t = 5 min. Radomization to REBOA or control group, at t = 7 min inflation of REBOA ballon. CPR was continued until t = 18 min including defibrillation and intravenous epinephrine. Primary endpoint was ROSC with short-term survival, secondary endpoints mean arterial pressures (MAP) and arterial bloodgas analyses.

RESULTS

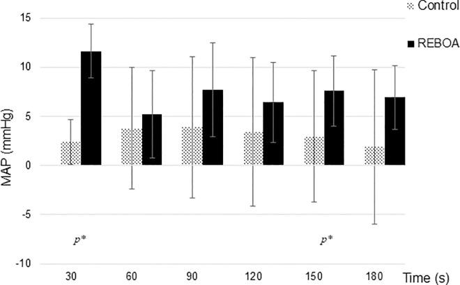
ROSC was observed in n = 5 (REBOA) versus n = 1 (control) out of 10 animals, p = 0.141. All these animals remained stable for over an hour and thus also met the criteria for short-term survival. In the REBOA group, MAP was significantly increased following blockage of the ballon. Arterial blood gas analyses (ABG) showed a trend to higher PaO2 (REBOA 375 ± 147 mmHg vs control 277 ± 129 p = 0,220), higher pH-value (REBOA 7,37 ± 0,06 vs control 7,24 ± 0,12 p = 0,052) and less increased PaCO2 (REBOA 38 ± 7 mmHg vs control 59 ± 21 mmHg p = 0,056) at t = 14 min.

CONCLUSION

In our animal resuscitation model of non-traumatic CA, REBOA showed a significant increase in MAP and a favourable influence on gasexchange, associated with a trend towards higher ROSC rates and short-term survival. It remains to be seen whether these effects can be replicated in larger experimental and clinical studies.

摘要

背景

即使旁观者开始进行胸外心脏按压的心肺复苏(CPR),院外心脏骤停(OHCA)的存活率仍然很低。胸外按压仅能提供降低的心输出量,心脏和大脑的灌注有限,因此在长时间CPR中可能无法避免死亡或不良神经结局。我们在无创伤猪模型中,研究了主动脉内复苏球囊阻断术(REBOA)对机械CPR(mCPR)期间血流动力学、气体交换和自主循环恢复(ROSC)以及短期存活的影响,mCPR采用胸外按压同步通气(CCSV)。

方法

对20头猪进行全身麻醉下的研究。在诱发心室颤动(VF)导致心脏骤停(CA)之前,将REBOA导管置于膈肌水平的胸主动脉。CA 3分钟后开始mCPR,在t = 5分钟时开始CCSV。在t = 7分钟时随机分为REBOA组或对照组,对REBOA球囊进行充气。CPR持续至t = 18分钟,包括除颤和静脉注射肾上腺素。主要终点是伴有短期存活的ROSC,次要终点是平均动脉压(MAP)和动脉血气分析。

结果

10只动物中,5只(REBOA组)出现ROSC,而对照组为1只,p = 0.141。所有这些动物在1小时以上保持稳定,因此也符合短期存活标准。在REBOA组,球囊阻断后MAP显著升高。动脉血气分析(ABG)显示,在t = 14分钟时,PaO2有升高趋势(REBOA组375±147 mmHg vs对照组277±129 mmHg,p = 0.220),pH值较高(REBOA组7.37±0.06 vs对照组7.24±0.12,p = 0.052),PaCO2升高较少(REBOA组38±7 mmHg vs对照组59±21 mmHg,p = 0.056)。

结论

在我们的非创伤性CA动物复苏模型中,REBOA显示MAP显著升高,对气体交换有有利影响,伴有ROSC率和短期存活增加的趋势。这些效应是否能在更大规模的实验和临床研究中得到重复还有待观察。

https://cdn.ncbi.nlm.nih.gov/pmc/blobs/02f9/12404386/6164a042818b/pone.0330346.g001.jpg

文献AI研究员

20分钟写一篇综述,助力文献阅读效率提升50倍。

立即体验

用中文搜PubMed

大模型驱动的PubMed中文搜索引擎

马上搜索

文档翻译

学术文献翻译模型,支持多种主流文档格式。

立即体验