Suppr超能文献

不同血清碘状态的Graves病中T细胞相关免疫因子的表达水平及其与甲状腺功能的相关性:对免疫发病机制的见解

Expression levels of T cell-related immune factors and their correlation with thyroid function in Graves' disease with varied serum iodine status: insights into immunopathogenesis.

作者信息

Wang Lilan, Ru Zixuan, Gao Shengnan, Lv Na, Li Kerou, Qiao Hong

机构信息

Department of Endocrinology, Second Affiliated Hospital of Harbin Medical University, Harbin, China.

出版信息

Front Endocrinol (Lausanne). 2025 Aug 15;16:1623881. doi: 10.3389/fendo.2025.1623881. eCollection 2025.

Abstract

OBJECTIVE

Measurement of Serum Iodine Concentration (SIC) in Newly Diagnosed Adult Graves' Disease (GD) Patients with Hyperthyroidism and Healthy Controls: Investigating Cytokine Expression Profiles and Their Correlations with Thyroid Function Across Diverse Iodine Nutritional Status.

METHOD

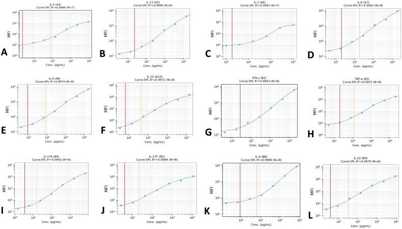
Patients newly diagnosed with GD hyperthyroidism from September 2024 to February 2025 at our institution were enrolled. Serum samples were collected for SIC measurement using arsenic-cerium catalytic spectrophotometry. Serum cytokine levels of 12 Th cell-related cytokines were quantified via LEGENDplex™ Human Th Cytokine Panel, and thyroid function was assessed by electrochemical immunoassay. Participants were stratified into three groups based on WHO iodine status criteria: iodine deficiency (<45 μg/L), adequate iodine (45-90 μg/L), and iodine excess (>90 μg/L). Pearson/Spearman correlation analyses were performed to evaluate associations between cytokine profiles and thyroid function parameters across subgroups.

RESULTS

Based on the inclusion and exclusion criteria, a total of 75 subjects were enrolled in this study. The SIC was 148.62 ± 17.63 μg/L (GD I group), 72.33 ± 12.08 μg/L (GD II group), and 75.24 ± 7.94 μg/L (NC group), respectively, with statistically significant differences among the three groups (P<0.001). In GD patients, SIC showed a positive correlation with TRAb levels (r = 0.136, P<0.001). Serum concentrations of IL-6, IL-4, IL-5, IL-13, IL-2, IFN-γ, TNF-α, IL-17A, and IL-22 in GD patients were significantly higher than those in the NC group, with the GD I group demonstrating notably elevated IL-6 levels compared to the GD II group (P<0.05). Correlation analysis revealed positive associations between IL-6 and SIC, TRAb, and IL-17A (r = 0.114, 0.105, 0.214; P < 0.05), while no correlations were observed with FT3, FT4, TSH, TPOAb, or TgAb levels (P > 0.05). Similarly, IL-17A exhibited positive correlations with SIC and IL-6 (r = 0.130, 0.214; P < 0.05), but showed no significant associations with FT3, FT4, TSH, TPOAb, or TgAb concentrations (P > 0.05).

CONCLUSIONS

  1. Serum cytokine levels (including IL-6, IL-9, IL-17A, IL-17F, and IL-22) exhibited significant differences between healthy subjects and patients with newly diagnosed hyperthyroid Graves' disease (GD) under varying serum iodine concentration (SIC). 2. In newly diagnosed hyperthyroid GD patients, serum IL-6 demonstrated positive correlations with SIC, TRAb, and IL-17A (all P < 0.05), while IL-17A showed positive correlations with SIC and IL-6 (P < 0.05). 3. In GD patients with elevated SIC, cytokines IL-17A and IL-6 may contribute to pathogenic processes in hyperthyroid GD.
摘要

目的

测定新诊断的成年甲状腺功能亢进型格雷夫斯病(GD)患者及健康对照者的血清碘浓度(SIC):研究不同碘营养状态下细胞因子表达谱及其与甲状腺功能的相关性。

方法

纳入2024年9月至2025年2月在我院新诊断为GD甲亢的患者。采集血清样本,采用砷铈催化分光光度法测定SIC。通过LEGENDplex™人Th细胞因子检测板定量检测12种Th细胞相关细胞因子的血清水平,采用电化学免疫分析法评估甲状腺功能。根据世界卫生组织碘状态标准,将参与者分为三组:碘缺乏(<45μg/L)、碘充足(45 - 90μg/L)和碘过量(>90μg/L)。进行Pearson/Spearman相关性分析,以评估各亚组中细胞因子谱与甲状腺功能参数之间的关联。

结果

根据纳入和排除标准,本研究共纳入75名受试者。SIC分别为148.62±17.63μg/L(GD I组)、72.33±12.08μg/L(GD II组)和75.24±7.94μg/L(NC组),三组间差异有统计学意义(P<0.001)。在GD患者中,SIC与TRAb水平呈正相关(r = 0.136,P<0.001)。GD患者血清中IL - 6、IL - 4、IL - 5、IL - 13、IL - 2、IFN -γ、TNF -α、IL - 17A和IL - 22的浓度显著高于NC组,GD I组IL - 6水平显著高于GD II组(P<0.05)。相关性分析显示,IL - 6与SIC、TRAb和IL - 17A呈正相关(r = 0.114、0.105、0.214;P < 0.05),而与FT3、FT4、TSH、TPOAb或TgAb水平无相关性(P > 0.05)。同样,IL - 17A与SIC和IL - 6呈正相关(r = 0.130、0.214;P < 0.05),但与FT3、FT4、TSH、TPOAb或TgAb浓度无显著相关性(P > 0.05)。

结论

  1. 在不同血清碘浓度(SIC)下,健康受试者与新诊断的甲亢型格雷夫斯病(GD)患者之间血清细胞因子水平(包括IL - 6、IL - 9、IL - 17A、IL - 17F和IL - 22)存在显著差异。2. 在新诊断的甲亢型GD患者中,血清IL - 6与SIC、TRAb和IL - 17A呈正相关(均P < 0.05),而IL - 17A与SIC和IL - 6呈正相关(P < 0.05)。3. 在SIC升高的GD患者中,细胞因子IL - 17A和IL - 6可能参与甲亢型GD的致病过程。
https://cdn.ncbi.nlm.nih.gov/pmc/blobs/6697/12394048/9194bb6851bd/fendo-16-1623881-g001.jpg

文献AI研究员

20分钟写一篇综述,助力文献阅读效率提升50倍。

立即体验

用中文搜PubMed

大模型驱动的PubMed中文搜索引擎

马上搜索

文档翻译

学术文献翻译模型,支持多种主流文档格式。

立即体验