Suppr超能文献

壳聚糖和果胶基纳米乳液涂层在李(Prunus salicina Lindl.)果实保鲜中的应用

Application of Chitosan and Pectin-Based Nanoemulsion Coating for the Preservation of Plum () Fruit.

作者信息

Iqbal Shahzad Zafar, Waseem Muhammad, Naz Farah, Iqbal Munawar, Ayub Muhammad Adnan, Mohammed Osama A, Abdull Razis Ahmad Faizal

机构信息

Food Safety and Toxicology Lab, Department of Applied Chemistry Government College University Faisalabad Faisalabad Pakistan.

School of Energy and Environment City University of Hong Kong Kowloon Tong, Hong Kong China.

出版信息

Food Sci Nutr. 2025 Sep 4;13(9):e70824. doi: 10.1002/fsn3.70824. eCollection 2025 Sep.

Abstract

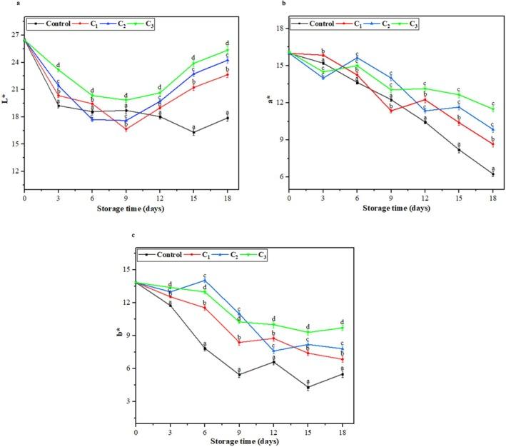
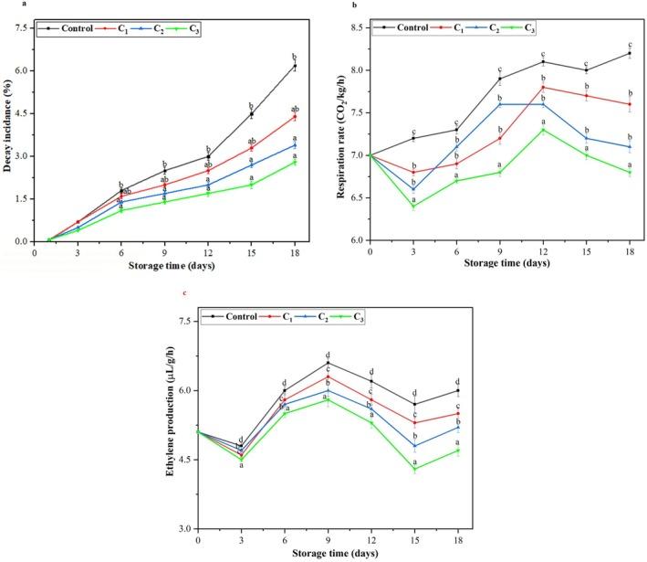
Pectin, a bioactive polysaccharide, was mixed with chitosan (CS) and blended with three essential oil formulations to prepare nanoemulsion-based edible coatings. Three nanoemulsion-based coatings, C, C, and C, comprising chitosan and pectin at ratios of 1:1, 1.25:1.25, and 1.50:1.50, respectively, were applied to plum fruits and stored at 7°C for 18 days to evaluate their preservation effectiveness. The results have documented the stability and compatibility of prepared nanoemulsions when applied during the fruit storage period. The nanoemulsion C inhibited and by 1.20 ± 0.06 and 0.90 ± 0.09 mm, respectively. Furthermore, the C coating effectively delayed key quality deterioration parameters ( < 0.05), such as reduced weight loss (7.75%), maintained firmness (2.50 kg/cm), lower decay incidence (2.80%), respiration rate (RR, 6.80 CO/kg/h), and ethylene production (3.80 μL/kg/h). It also preserved titratable acidity (1.77%), total soluble solids (8.30°Brix), total phenolic content (160 mg GAE/100 g FW), pH values (3.35), and overall acceptability (6.60 score). These results established a robust foundation for the development and application of the active edible coating for prepared nanoemulsions C, C, and C to preserve postharvest quality and prolong the shelf life of fruits and vegetables.

摘要

果胶是一种生物活性多糖,它与壳聚糖(CS)混合,并与三种精油配方混合,以制备基于纳米乳液的可食用涂层。分别以1:1、1.25:1.25和1.50:1.50的比例将壳聚糖和果胶组成的三种基于纳米乳液的涂层C、C和C应用于李子果实,并在7°C下储存18天,以评估它们的保鲜效果。结果证明了所制备的纳米乳液在果实储存期应用时的稳定性和相容性。纳米乳液C分别抑制 和 达1.20±0.06和0.90±0.09毫米。此外,C涂层有效地延缓了关键质量劣化参数(P<0.05),如减轻重量损失(7.75%)、保持硬度(2.50千克/平方厘米)、降低腐烂发生率(2.80%)、呼吸速率(RR,6.80二氧化碳/千克/小时)和乙烯产量(3.80微升/千克/小时)。它还保留了可滴定酸度(1.77%)、总可溶性固形物(8.30°Brix)、总酚含量(160毫克GAE/100克鲜重)、pH值(3.35)和总体可接受性(6.60分)。这些结果为开发和应用用于制备纳米乳液C、C和C的活性可食用涂层奠定了坚实基础,以保持果蔬采后品质并延长其货架期。

https://cdn.ncbi.nlm.nih.gov/pmc/blobs/e4ee/12411564/1bc955b9a775/FSN3-13-e70824-g006.jpg

文献AI研究员

20分钟写一篇综述,助力文献阅读效率提升50倍。

立即体验

用中文搜PubMed

大模型驱动的PubMed中文搜索引擎

马上搜索

文档翻译

学术文献翻译模型,支持多种主流文档格式。

立即体验