Suppr超能文献

加利福尼亚州细颗粒物空气污染成分对死亡率的影响:CALFINE研究结果

The effects of components of fine particulate air pollution on mortality in california: results from CALFINE.

作者信息

Ostro Bart, Feng Wen-Ying, Broadwin Rachel, Green Shelley, Lipsett Michael

机构信息

Office of Environmental Health Hazard Assessment, 16th Floor, 1515 Clay St., Oakland, CA 94612, USA.

出版信息

Environ Health Perspect. 2007 Jan;115(1):13-9. doi: 10.1289/ehp.9281.

Abstract

OBJECTIVE

Several epidemiologic studies provide evidence of an association between daily mortality and particulate matter < 2.5 pm in diameter (PM2.5). Little is known, however, about the relative effects of PM2.5 constituents. We examined associations between 19 PM2.5 components and daily mortality in six California counties.

DESIGN

We obtained daily data from 2000 to 2003 on mortality and PM2.5 mass and components, including elemental and organic carbon (EC and OC), nitrates, sulfates, and various metals. We examined associations of PM2.5 and its constituents with daily counts of several mortality categories: all-cause, cardiovascular, respiratory, and mortality age > 65 years. Poisson regressions incorporating natural splines were used to control for time-varying covariates. Effect estimates were determined for each component in each county and then combined using a random-effects model.

RESULTS

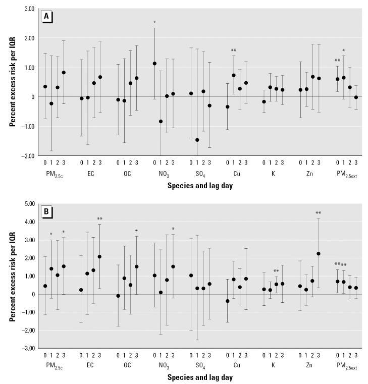
PM2.5 mass and several constituents were associated with multiple mortality categories, especially cardiovascular deaths. For example, for a 3-day lag, the latter increased by 1.6, 2.1, 1.6, and 1.5% for PM2.5, EC, OC, and nitrates based on interquartile ranges of 14.6, 0.8, 4.6, and 5.5 pg/m(3), respectively. Stronger associations were observed between mortality and additional pollutants, including sulfates and several metals, during the cool season.

CONCLUSION

This multicounty analysis adds to the growing body of evidence linking PM2.5 with mortality and indicates that excess risks may vary among specific PM2.5 components. Therefore, the use of regression coefficients based on PM2.5 mass may underestimate associations with some PM2.5 components. Also, our findings support the hypothesis that combustion-associated pollutants are particularly important in California.

摘要

目的

多项流行病学研究证明了每日死亡率与直径小于2.5微米的颗粒物(PM2.5)之间存在关联。然而,对于PM2.5成分的相对影响却知之甚少。我们研究了加利福尼亚州六个县中19种PM2.5成分与每日死亡率之间的关联。

设计

我们获取了2000年至2003年关于死亡率、PM2.5质量及成分(包括元素碳和有机碳(EC和OC)、硝酸盐、硫酸盐及各种金属)的每日数据。我们研究了PM2.5及其成分与几类死亡人数每日计数之间的关联:全因死亡、心血管死亡、呼吸死亡以及65岁以上人群死亡。采用纳入自然样条的泊松回归来控制随时间变化的协变量。确定每个县中每种成分的效应估计值,然后使用随机效应模型进行合并。

结果

PM2.5质量及几种成分与多种死亡类别相关,尤其是心血管死亡。例如,对于3天的滞后效应,基于四分位间距分别为14.6、0.8、4.6和5.5微克/立方米的PM2.5、EC、OC和硝酸盐,心血管死亡分别增加了1.6%、2.1%、1.6%和1.5%。在寒冷季节,观察到死亡率与其他污染物(包括硫酸盐和几种金属)之间存在更强的关联。

结论

这项多县分析为将PM2.5与死亡率联系起来的证据不断增加做出了贡献,并表明特定PM2.5成分的超额风险可能有所不同。因此,基于PM2.5质量的回归系数可能会低估与某些PM2.5成分的关联。此外,我们的研究结果支持了燃烧相关污染物在加利福尼亚州尤为重要这一假设。

https://cdn.ncbi.nlm.nih.gov/pmc/blobs/6c8a/1797827/2708e89f9077/ehp0115-000013f1.jpg

文献AI研究员

20分钟写一篇综述,助力文献阅读效率提升50倍。

立即体验

用中文搜PubMed

大模型驱动的PubMed中文搜索引擎

马上搜索

文档翻译

学术文献翻译模型,支持多种主流文档格式。

立即体验