Suppr超能文献

实验性骨关节炎中的 S100A8 和 S100A9。

S100A8 and S100A9 in experimental osteoarthritis.

机构信息

Tissue Engineering and Biomaterials Research Unit, School of AMME J07, Faculty of Engineering, Bosch Institute, University of Sydney, Corner of Shepherd and Cleavland Street, New South Wales 2006, Australia.

出版信息

Arthritis Res Ther. 2010;12(1):R16. doi: 10.1186/ar2917. Epub 2010 Jan 27.

Abstract

INTRODUCTION

The objective was to evaluate the changes in S100A8 S100A9, and their complex (S100A8/S100A9) in cartilage during the onset of osteoarthritis (OA) as opposed to inflammatory arthritis.

METHODS

S100A8 and S100A9 protein localization were determined in antigen-induced inflammatory arthritis in mice, mouse femoral head cartilage explants stimulated with interleukin-1 (IL-1), and in surgically-induced OA in mice. Microarray expression profiling of all S100 proteins in cartilage was evaluated at different times after initiation of degradation in femoral head explant cultures stimulated with IL-1 and surgically-induced OA. The effect of S100A8, S100A9 or the complex on the expression of aggrecan (Acan), collagen II (Col2a1), disintegrin and metalloproteases with thrombospondin motifs (Adamts1, Adamts 4 &Adamts 5), matrix metalloproteases (Mmp1, Mmp3, Mmp13 &Mmp14) and tissue inhibitors of metalloproteinases (Timp1, Timp2 &Timp3), by primary adult ovine articular chondrocytes was determined using real time quantitative reverse transcription polymerase chain reaction (qRT-PCR).

RESULTS

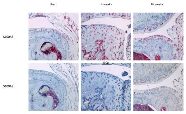
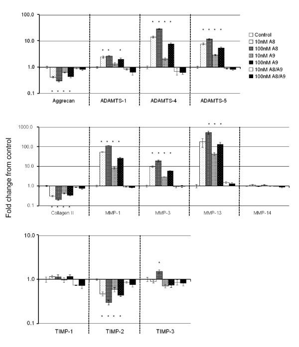
Stimulation with IL-1 increased chondrocyte S100a8 and S100a9 mRNA and protein levels. There was increased chondrocyte mRNA expression of S100a8 and S100a9 in early but not late mouse OA. However, loss of the S100A8 staining in chondrocytes occurred as mouse OA progressed, in contrast to the positive reactivity for both S100A8 and S100A9 in chondrocytes in inflammatory arthritis in mice. Homodimeric S100A8 and S100A9, but not the heterodimeric complex, significantly upregulated chondrocyte Adamts1, Adamts4 and Adamts 5, Mmp1, Mmp3 and Mmp13 gene expression, while collagen II and aggrecan mRNAs were significantly decreased.

CONCLUSIONS

Chondrocyte derived S100A8 and S100A9 may have a sustained role in cartilage degradation in inflammatory arthritis. In contrast, while these proteins may have a role in initiating early cartilage degradation in OA by upregulating MMPs and aggrecanases, their reduced expression in late stages of OA suggests they do not have an ongoing role in cartilage degradation in this non-inflammatory arthropathy.

摘要

简介

本研究旨在对比炎性关节炎和骨关节炎(OA)中软骨内 S100A8、S100A9 及其复合物(S100A8/S100A9)在发病过程中的变化。

方法

在诱导型炎性关节炎小鼠模型、白细胞介素-1(IL-1)刺激的小鼠股骨头软骨外植体以及手术诱导的 OA 小鼠模型中,检测 S100A8 和 S100A9 蛋白的定位。在 IL-1 刺激的股骨头外植体培养物和手术诱导的 OA 中,通过微阵列表达谱分析评估所有 S100 蛋白在软骨中的表达情况。采用实时定量逆转录聚合酶链反应(qRT-PCR)检测 S100A8、S100A9 或复合物对成年绵羊关节软骨细胞中聚集蛋白聚糖(Acan)、II 型胶原(Col2a1)、解整合素金属蛋白酶与凝血酶 3 型(Adamts1、Adamts4 和 Adamts5)、基质金属蛋白酶(Mmp1、Mmp3、Mmp13 和 Mmp14)和金属蛋白酶组织抑制剂(Timp1、Timp2 和 Timp3)表达的影响。

结果

IL-1 刺激可增加软骨细胞 S100a8 和 S100a9 的 mRNA 和蛋白水平。在早期但不是晚期的 OA 小鼠中,S100a8 和 S100a9 的软骨细胞 mRNA 表达增加。然而,随着 OA 小鼠的进展,S100A8 在软骨细胞中的染色丢失,而在炎性关节炎的小鼠软骨细胞中 S100A8 和 S100A9 均呈阳性反应。同源二聚体 S100A8 和 S100A9 而非异源二聚体复合物可显著上调软骨细胞 Adamts1、Adamts4 和 Adamts5、Mmp1、Mmp3 和 Mmp13 的基因表达,而 II 型胶原和聚集蛋白聚糖的 mRNA 则显著减少。

结论

软骨细胞来源的 S100A8 和 S100A9 可能在炎性关节炎的软骨降解中持续发挥作用。相比之下,虽然这些蛋白可能通过上调 MMPs 和聚集蛋白聚糖酶在 OA 中早期启动软骨降解,但它们在 OA 晚期的表达减少表明它们在这种非炎性关节病的软骨降解中没有持续作用。

https://cdn.ncbi.nlm.nih.gov/pmc/blobs/8cb5/2875644/d451cb5de06f/ar2917-1.jpg

文献AI研究员

20分钟写一篇综述,助力文献阅读效率提升50倍。

立即体验

用中文搜PubMed

大模型驱动的PubMed中文搜索引擎

马上搜索

文档翻译

学术文献翻译模型,支持多种主流文档格式。

立即体验