Suppr超能文献

显然冗余转录增强子赋予的表型稳健性。

Phenotypic robustness conferred by apparently redundant transcriptional enhancers.

机构信息

Howard Hughes Medical Institute and Department of Ecology and Evolutionary Biology, Princeton University, Princeton, New Jersey 08544, USA.

出版信息

Nature. 2010 Jul 22;466(7305):490-3. doi: 10.1038/nature09158. Epub 2010 May 30.

Abstract

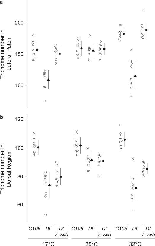
Genes include cis-regulatory regions that contain transcriptional enhancers. Recent reports have shown that developmental genes often possess multiple discrete enhancer modules that drive transcription in similar spatio-temporal patterns: primary enhancers located near the basal promoter and secondary, or 'shadow', enhancers located at more remote positions. It has been proposed that the seemingly redundant activity of primary and secondary enhancers contributes to phenotypic robustness. We tested this hypothesis by generating a deficiency that removes two newly discovered enhancers of shavenbaby (svb, a transcript of the ovo locus), a gene encoding a transcription factor that directs development of Drosophila larval trichomes. At optimal temperatures for embryonic development, this deficiency causes minor defects in trichome patterning. In embryos that develop at both low and high extreme temperatures, however, absence of these secondary enhancers leads to extensive loss of trichomes. These temperature-dependent defects can be rescued by a transgene carrying a secondary enhancer driving transcription of the svb cDNA. Finally, removal of one copy of wingless, a gene required for normal trichome patterning, causes a similar loss of trichomes only in flies lacking the secondary enhancers. These results support the hypothesis that secondary enhancers contribute to phenotypic robustness in the face of environmental and genetic variability.

摘要

基因包括含有转录增强子的顺式调控区域。最近的报告表明,发育基因通常具有多个离散的增强子模块,以相似的时空模式驱动转录:位于基本启动子附近的主要增强子和位于更远位置的次要或“影子”增强子。有人提出,主要和次要增强子的看似冗余的活性有助于表型稳健性。我们通过产生一种缺失来测试这个假设,该缺失去除了两个新发现的 shavenbaby(svb,ovo 基因座的转录本)的增强子,svb 基因编码一种转录因子,指导果蝇幼虫刚毛的发育。在胚胎发育的最佳温度下,这种缺陷导致刚毛模式的轻微缺陷。然而,在发育于低温和高温极端温度的胚胎中,这些次要增强子的缺失导致刚毛的广泛缺失。携带驱动 svb cDNA 转录的次要增强子的转基因可以挽救这些温度依赖性缺陷。最后,去除一个必需的基因 wingless(正常刚毛模式形成所必需的基因)的一个拷贝,仅在缺乏次要增强子的果蝇中也会导致刚毛的类似缺失。这些结果支持了这样的假设,即次要增强子有助于在环境和遗传变异面前保持表型稳健性。

https://cdn.ncbi.nlm.nih.gov/pmc/blobs/6064/2909378/575706c272fc/nihms-204229-f0001.jpg

文献AI研究员

20分钟写一篇综述,助力文献阅读效率提升50倍。

立即体验

用中文搜PubMed

大模型驱动的PubMed中文搜索引擎

马上搜索

文档翻译

学术文献翻译模型,支持多种主流文档格式。

立即体验