Suppr超能文献

黄瓜 WRKY 基因家族的全基因组分析。

Genome-wide analysis of WRKY gene family in Cucumis sativus.

机构信息

Institute of Vegetables and Flowers, Chinese Academy of Agricultural Sciences, 12 Zhongguancun South Street, Beijing, 100081 China.

出版信息

BMC Genomics. 2011 Sep 28;12:471. doi: 10.1186/1471-2164-12-471.

Abstract

BACKGROUND

WRKY proteins are a large family of transcriptional regulators in higher plant. They are involved in many biological processes, such as plant development, metabolism, and responses to biotic and abiotic stresses. Prior to the present study, only one full-length cucumber WRKY protein had been reported. The recent publication of the draft genome sequence of cucumber allowed us to conduct a genome-wide search for cucumber WRKY proteins, and to compare these positively identified proteins with their homologs in model plants, such as Arabidopsis.

RESULTS

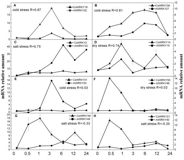
We identified a total of 55 WRKY genes in the cucumber genome. According to structural features of their encoded proteins, the cucumber WRKY (CsWRKY) genes were classified into three groups (group 1-3). Analysis of expression profiles of CsWRKY genes indicated that 48 WRKY genes display differential expression either in their transcript abundance or in their expression patterns under normal growth conditions, and 23 WRKY genes were differentially expressed in response to at least one abiotic stresses (cold, drought or salinity). The expression profile of stress-inducible CsWRKY genes were correlated with those of their putative Arabidopsis WRKY (AtWRKY) orthologs, except for the group 3 WRKY genes. Interestingly, duplicated group 3 AtWRKY genes appear to have been under positive selection pressure during evolution. In contrast, there was no evidence of recent gene duplication or positive selection pressure among CsWRKY group 3 genes, which may have led to the expressional divergence of group 3 orthologs.

CONCLUSIONS

Fifty-five WRKY genes were identified in cucumber and the structure of their encoded proteins, their expression, and their evolution were examined. Considering that there has been extensive expansion of group 3 WRKY genes in angiosperms, the occurrence of different evolutionary events could explain the functional divergence of these genes.

摘要

背景

WRKY 蛋白是高等植物中一类重要的转录调控因子家族。它们参与植物发育、代谢以及生物和非生物胁迫响应等多种生物学过程。在本研究之前,仅报道了一个全长的黄瓜 WRKY 蛋白。黄瓜基因组草图序列的最新发表,使得我们能够在黄瓜基因组中进行全基因组搜索,并将这些鉴定出的蛋白与拟南芥等模式植物的同源蛋白进行比较。

结果

我们在黄瓜基因组中总共鉴定到 55 个 WRKY 基因。根据其编码蛋白的结构特征,将黄瓜 WRKY(CsWRKY)基因分为三组(第 1-3 组)。对 CsWRKY 基因表达谱的分析表明,在正常生长条件下,有 48 个 WRKY 基因的转录丰度或表达模式存在差异,有 23 个 WRKY 基因对至少一种非生物胁迫(冷、干旱或盐胁迫)有差异表达。胁迫诱导的 CsWRKY 基因的表达谱与它们假定的拟南芥 WRKY(AtWRKY)同源基因的表达谱相关,除了第 3 组 WRKY 基因。有趣的是,进化过程中第 3 组的重复 AtWRKY 基因似乎受到了正选择压力。相比之下,第 3 组 CsWRKY 基因没有近期基因复制或正选择压力的证据,这可能导致了第 3 组同源基因的表达分化。

结论

在黄瓜中鉴定到 55 个 WRKY 基因,研究了它们编码蛋白的结构、表达和进化。考虑到被子植物第 3 组 WRKY 基因的广泛扩张,不同进化事件的发生可以解释这些基因的功能分化。

https://cdn.ncbi.nlm.nih.gov/pmc/blobs/626c/3191544/c03c420c699e/1471-2164-12-471-1.jpg

文献AI研究员

20分钟写一篇综述,助力文献阅读效率提升50倍。

立即体验

用中文搜PubMed

大模型驱动的PubMed中文搜索引擎

马上搜索

文档翻译

学术文献翻译模型,支持多种主流文档格式。

立即体验