Suppr超能文献

25-羟基维生素D3和1,25-二羟基维生素D3均可降低人牙周膜细胞的炎症反应。

Both 25-hydroxyvitamin-D3 and 1,25-dihydroxyvitamin-D3 reduces inflammatory response in human periodontal ligament cells.

作者信息

Andrukhov Oleh, Andrukhova Olena, Hulan Ulamnemekh, Tang Yan, Bantleon Hans-Peter, Rausch-Fan Xiaohui

机构信息

Division of Oral Biology, Bernhard Gottlieb School of Dentistry, Medical University of Vienna, Vienna, Austria.

Department of Biomedical Science, University of Veterinary Medicine, Vienna, Austria.

出版信息

PLoS One. 2014 Feb 28;9(2):e90301. doi: 10.1371/journal.pone.0090301. eCollection 2014.

Abstract

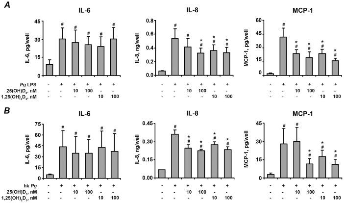
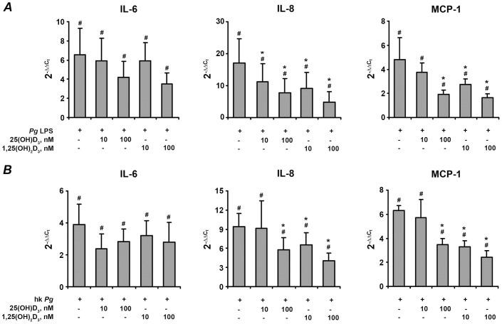
Periodontitis is an inflammatory disease leading to the destruction of periodontal tissue. Vitamin D3 is an important hormone involved in the preservation of serum calcium and phosphate levels, regulation of bone metabolism and inflammatory response. Recent studies suggest that vitamin D3 metabolism might play a role in the progression of periodontitis. The aim of the present study was to examine the effects of 25(OH)D3, which is stable form of vitamin D3 in blood, and biologically active form 1,25(OH)2D3 on the production of interleukin-6 (IL-6), interleukin-8 (IL-8), and monocyte chemotactic protein-1 (MCP-1) by cells of periodontal ligament. Commercially available human periodontal ligament fibroblasts (hPdLF) and primary human periodontal ligament cells (hPdLC) were used. Cells were stimulated with either Porphyromonas gingivalis lipopolysaccharide (LPS) or heat-killed P. ginigvalis in the presence or in the absence of 25(OH)D3 or 1,25(OH)2D3 at concentrations of 10-100 nM. Stimulation of cells with either P. gingivalis LPS or heat-killed P. gingivalis resulted in a significant increase of the expression levels of IL-6, IL-8, and MCP-1 in gene as well as in protein levels, measured by qPCR and ELISA, respectively. The production of these pro-inflammatory mediators in hPdLF was significantly inhibited by both 25(OH)D3 and 1,25(OH)2D3 in a dose-dependent manner. In primary hPdLCs, both 25(OH)D3 and 1,25(OH)2D3 inhibited the production of IL-8 and MCP-1 but have no significant effect on the IL-6 production. The effect of both 25(OH)D3 and 1,25(OH)2D3 was abolished by specific knockdown of vitamin D3 receptor by siRNA. Our data suggest that vitamin D3 might play an important role in the modulation of periodontal inflammation via regulation of cytokine production by cells of periodontal ligament. Further studies are required for better understanding of the extents of this anti-inflammatory effect and its involvement in the progression of periodontal disease.

摘要

牙周炎是一种导致牙周组织破坏的炎症性疾病。维生素D3是一种重要的激素,参与维持血清钙和磷水平、调节骨代谢及炎症反应。最近的研究表明,维生素D3代谢可能在牙周炎的进展中起作用。本研究的目的是检测血液中维生素D3的稳定形式25(OH)D3以及生物活性形式1,25(OH)2D3对牙周膜细胞产生白细胞介素-6(IL-6)、白细胞介素-8(IL-8)和单核细胞趋化蛋白-1(MCP-1)的影响。使用了市售的人牙周膜成纤维细胞(hPdLF)和原代人牙周膜细胞(hPdLC)。在存在或不存在浓度为10 - 100 nM的25(OH)D3或1,25(OH)2D3的情况下,用牙龈卟啉单胞菌脂多糖(LPS)或热灭活的牙龈卟啉单胞菌刺激细胞。分别通过qPCR和ELISA检测,用牙龈卟啉单胞菌LPS或热灭活的牙龈卟啉单胞菌刺激细胞导致IL-6、IL-8和MCP-1的基因表达水平以及蛋白质水平显著增加。25(OH)D3和1,25(OH)2D3均以剂量依赖的方式显著抑制hPdLF中这些促炎介质的产生。在原代hPdLC中,25(OH)D3和1,25(OH)2D3均抑制IL-8和MCP-1的产生,但对IL-6的产生没有显著影响。通过siRNA特异性敲低维生素D3受体可消除25(OH)D3和1,25(OH)2D3的作用。我们的数据表明,维生素D3可能通过调节牙周膜细胞的细胞因子产生在调节牙周炎症中起重要作用。需要进一步研究以更好地了解这种抗炎作用的程度及其在牙周疾病进展中的参与情况。

https://cdn.ncbi.nlm.nih.gov/pmc/blobs/30e4/3938673/3f0110858e32/pone.0090301.g001.jpg

文献AI研究员

20分钟写一篇综述,助力文献阅读效率提升50倍。

立即体验

用中文搜PubMed

大模型驱动的PubMed中文搜索引擎

马上搜索

文档翻译

学术文献翻译模型,支持多种主流文档格式。

立即体验