Suppr超能文献

右美托咪定与丙泊酚用于悬雍垂腭咽成形术后镇静的比较。

Comparison of Dexmedetomidine versus Propofol for Sedation after Uvulopalatopharyngoplasty.

作者信息

Xu Jihong, Jin Chunji, Cui Xiaopeng, Jin Zhou

机构信息

Department of Anesthesiology, General Hospital of Shenyang Military Region, Shenyang, Liaoning, China (mainland).

出版信息

Med Sci Monit. 2015 Jul 22;21:2125-33. doi: 10.12659/MSM.893884.

Abstract

BACKGROUND

Adequate sedation is important in the post-anesthesia care unit (PACU) following uvulopalatopharyngoplasty (UPPP) to ensure patient comfort and decrease the duration of mechanical ventilation (MV), PACU stay, and bleeding. This study aimed to compare dexmedetomidine and propofol as sedatives after UPPP in the PACU.

MATERIAL AND METHODS

We randomized 124 mechanically ventilated adults following UPPP who were managed in the PACU of the General Hospital of the Shenyang Military Region between January 2014 and June 2014, to receive either dexmedetomidine or propofol. The patients in the propofol group received an infusion of propofol (3 mg/kg/h) titrated up to 6 mg/kg/h to attain a Ramsay sedation score ≥4. The dexmedetomidine group patients received 1.0 μg/kg of dexmedetomidine over a period of 10 minutes and then 0.5 to 1.0 μg/kg/h infusion to maintain a Ramsay sedation score ≥4.

RESULTS

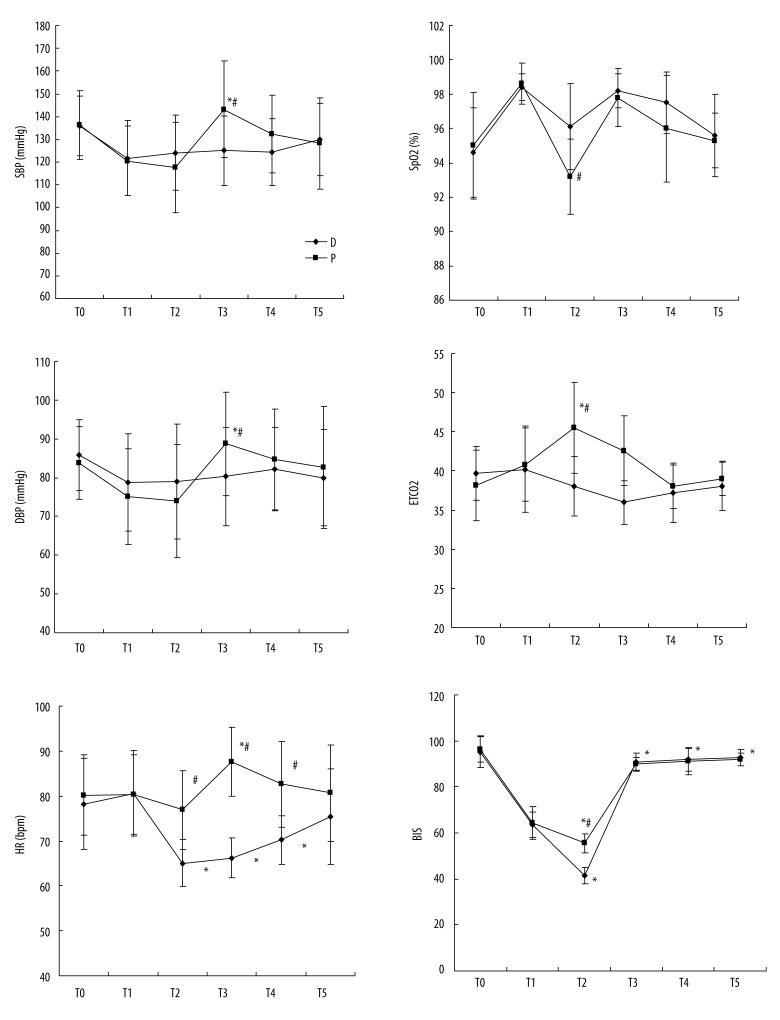
Bispectral index (BIS) values were significantly lower in the dexmedetomidine group than in the propofol group at Ramsay sedation scores of 4 and 5. The mean times to spontaneous breathing, waking, and extubation were shorter in the dexmedetomidine group. Tramadol requirement was significantly reduced in the dexmedetomidine group (P<0.05). Incidence of cough during the extubation process in the propofol group was higher than in the dexmedetomidine group. After extubation, Bruggemann comfort scale (BCS) and Rass agitation scores (RASS) were decreased in the dexmedetomidine-sedated patients.

CONCLUSIONS

Dexmedetomidine provides safe and effective sedation for post-UPPP surgical patients and significantly reduces the use of analgesics, with minimal adverse effects.

摘要

背景

在悬雍垂腭咽成形术(UPPP)后,麻醉后护理单元(PACU)中充分的镇静对于确保患者舒适度、缩短机械通气(MV)时间、PACU停留时间及减少出血至关重要。本研究旨在比较右美托咪定和丙泊酚作为UPPP后PACU镇静药物的效果。

材料与方法

我们将2014年1月至2014年6月在沈阳军区总医院PACU接受治疗的124例UPPP术后机械通气成年患者随机分为两组,分别给予右美托咪定或丙泊酚。丙泊酚组患者接受丙泊酚输注(3mg/kg/h),根据需要滴定至6mg/kg/h,以达到Ramsay镇静评分≥4。右美托咪定组患者在10分钟内静脉输注1.0μg/kg右美托咪定,然后以0.5至1.0μg/kg/h的速度输注以维持Ramsay镇静评分≥4。

结果

在Ramsay镇静评分4分和5分时,右美托咪定组的脑电双频指数(BIS)值显著低于丙泊酚组。右美托咪定组患者自主呼吸恢复、清醒和拔管的平均时间更短。右美托咪定组曲马多的需求量显著降低(P<0.05)。丙泊酚组拔管过程中咳嗽的发生率高于右美托咪定组。拔管后,右美托咪定镇静患者的布鲁格曼舒适度量表(BCS)和Rass躁动评分(RASS)降低。

结论

右美托咪定为UPPP术后患者提供了安全有效的镇静,显著减少了镇痛药的使用,且不良反应最小。

https://cdn.ncbi.nlm.nih.gov/pmc/blobs/04d1/4515936/0ccf0ec58e3c/medscimonit-21-2125-g001.jpg

文献AI研究员

20分钟写一篇综述,助力文献阅读效率提升50倍。

立即体验

用中文搜PubMed

大模型驱动的PubMed中文搜索引擎

马上搜索

文档翻译

学术文献翻译模型,支持多种主流文档格式。

立即体验