Suppr超能文献

冠状动脉钙化、心血管事件与死亡:血液透析初发患者的前瞻性队列研究

Coronary artery calcification, cardiovascular events, and death: a prospective cohort study of incident patients on hemodialysis.

作者信息

Wilkieson Trevor J, Rahman M Omair, Gangji Azim S, Voss Maurice, Ingram Alistair J, Ranganath Nischal, Goldsmith Charlie H, Kotsamanes Cathy Z, Crowther Mark A, Rabbat Christian G, Clase Catherine M

机构信息

Department of Medicine, McMaster University, 50 Charlton Avenue East, Hamilton, L8N4A6 ON Canada.

Department of Clinical Epidemiology and Biostatistics, McMaster University, Hamilton, Canada.

出版信息

Can J Kidney Health Dis. 2015 Aug 12;2:29. doi: 10.1186/s40697-015-0065-6. eCollection 2015.

Abstract

BACKGROUND

Coronary calcification in patients with end-stage renal disease (ESRD) is associated with an increased risk of cardiovascular outcomes and death from all causes. Previous evidence has been limited by short follow-up periods and inclusion of a heterogeneous cluster of events in the primary analyses.

OBJECTIVE

To describe coronary calcification in patients incident to ESRD, and to identify whether calcification predicts vascular events or death.

DESIGN

Prospective substudy of an inception cohort.

SETTING

Tertiary care haemodialysis centre in Ontario (St Joseph's Healthcare Hamilton).

PARTICIPANTS

Patients starting haemodialysis who were new to ESRD.

MEASUREMENTS

At baseline, clinical characterization and spiral computed tomography (CT) to score coronary calcification by the Agatston-Janowitz 130 scoring method. A primary outcome composite of adjudicated stroke, myocardial infarction, or death.

METHODS

We followed patients prospectively to identify the relationship between cardiac calcification and subsequent stroke, myocardial infarction, or death, using Cox regression.

RESULTS

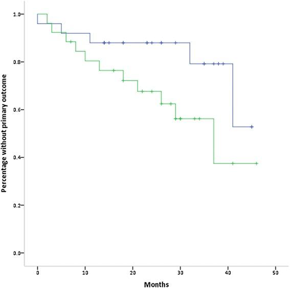
We recruited 248 patients in 3 centres to our main study, which required only biochemical markers. Of these 164 were at St Joseph's healthcare, and eligible to participate in the substudy; of these, 51 completed CT scanning (31 %). Median follow up was 26 months (Q1, Q3: 14, 34). The primary outcome occurred in 16 patients; 11 in the group above the median and 5 in the group below (p = 0.086). There were 26 primary outcomes in 16 patients; 20 (77 %) events in the group above the coronary calcification median and 6 (23 %) in the group below (p = 0.006). There were 10 deaths; 8 in the group above the median compared with 2 in the group below (p = 0.04). The hazard ratios for coronary calcification above, compared with below the median, for the primary outcome composite were 2.5 (95 % CI 0.87, 7.3; p = 0.09) and 1.7 (95 % CI 0.55, 5.4; p = 0.4), unadjusted and adjusted for age, respectively. For death, the hazard ratios were 4.6 (95 % CI 0.98, 21.96; p = 0.054) and 2.4 (95 % CI 0.45, 12.97; p = 0.3) respectively.

LIMITATIONS

We were limited by a small sample size and a small number of events.

CONCLUSIONS

Respondent burden is high for additional testing around the initiation of dialysis. High coronary calcification in patients new to ESRD has a tendency to predict cardiovascular outcomes and death, though effects are attenuated when adjusted for age.

摘要

背景

终末期肾病(ESRD)患者的冠状动脉钙化与心血管事件风险增加及全因死亡相关。既往证据受限于随访期短以及在主要分析中纳入了异质性事件群。

目的

描述ESRD初发患者的冠状动脉钙化情况,并确定钙化是否可预测血管事件或死亡。

设计

起始队列的前瞻性子研究。

地点

安大略省的三级医疗血液透析中心(汉密尔顿圣约瑟夫医疗中心)。

参与者

开始接受血液透析的ESRD新发病患者。

测量指标

基线时,进行临床特征描述及螺旋计算机断层扫描(CT),采用阿加斯顿-贾诺维茨130评分法对冠状动脉钙化进行评分。主要结局为经判定的中风、心肌梗死或死亡的复合结局。

方法

我们对患者进行前瞻性随访,采用Cox回归分析确定心脏钙化与随后发生的中风、心肌梗死或死亡之间的关系。

结果

我们在3个中心招募了248例患者进入主要研究,该研究仅需生化指标。其中164例在圣约瑟夫医疗中心,有资格参与子研究;其中51例完成了CT扫描(31%)。中位随访时间为26个月(第一四分位数,第三四分位数:14,34)。16例患者出现主要结局;中位数以上组11例,中位数以下组5例(p = 0.086)。16例患者出现26次主要结局;冠状动脉钙化中位数以上组20次(77%),中位数以下组6次(23%)(p = 0.006)。有10例死亡;中位数以上组8例,中位数以下组2例(p = 0.04)。主要结局复合指标中,未调整及调整年龄后,冠状动脉钙化中位数以上组与中位数以下组相比的风险比分别为2.5(95%可信区间0.87,7.3;p = 0.09)和1.7(95%可信区间0.55,5.4;p = 0.4)。对于死亡,风险比分别为4.6(95%可信区间0.98,21.96;p = 0.054)和2.4(95%可信区间0.45,12.97;p = 0.3)。

局限性

我们受限于样本量小和事件数量少。

结论

透析开始时进行额外检测的应答负担较高。ESRD新发病患者的高冠状动脉钙化倾向于预测心血管结局和死亡,不过在调整年龄后效应减弱。

https://cdn.ncbi.nlm.nih.gov/pmc/blobs/1255/4534029/64ce7f228cc4/40697_2015_65_Fig1_HTML.jpg

文献AI研究员

20分钟写一篇综述,助力文献阅读效率提升50倍。

立即体验

用中文搜PubMed

大模型驱动的PubMed中文搜索引擎

马上搜索

文档翻译

学术文献翻译模型,支持多种主流文档格式。

立即体验