Suppr超能文献

20年间脊髓损伤人口统计学变化:苏格兰一项基于人群的纵向研究。

Changing demographics of spinal cord injury over a 20-year period: a longitudinal population-based study in Scotland.

作者信息

McCaughey E J, Purcell M, McLean A N, Fraser M H, Bewick A, Borotkanics R J, Allan D B

机构信息

Centre for Health Systems and Safety Research, Australian Institute for Health Innovation, Macquarie University, Sydney, NSW, Australia.

Department of Biomedical Engineering, University of Strathclyde, Glasgow, UK.

出版信息

Spinal Cord. 2016 Apr;54(4):270-6. doi: 10.1038/sc.2015.167. Epub 2015 Oct 13.

Abstract

STUDY DESIGN

A retrospective cohort study.

OBJECTIVES

To review demographic trends in traumatic spinal cord injury (TSCI) and non-traumatic spinal cord injury (NTSCI).

SETTING

The Queen Elizabeth National Spinal Injuries Unit (QENSIU), sole provider of treatment for TSCI in Scotland; a devolved region of the UK National Health Service.

METHODS

A retrospective review of the QENSIU database was performed between 1994 and 2013. This database includes demographic and clinical data from all new TSCI patients in Scotland, as well as patients with severe NTSCI.

RESULTS

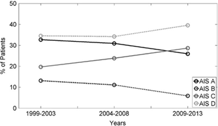
Over this 20-year period there were 1638 new cases of TSCI in Scotland; 75.2% occurring in males. TSCI incidence increased non-significantly (13.3 per million population to 17.0), while there were significant increases in mean age at time of TSCI (44.1-52.6 years), the proportion of TSCIs caused by falls (41-60%), the proportion of TSCIs resulting in an American Spinal Injury Association Impairment Scale score of C and D on admission (19.7-28.6% and 34.5-39.5%, respectively) and the proportion of cervical TSCIs (58.4-66.3%). The increase in cervical TSCI was specifically due to an increase in C1-C4 lesions (21.7-31.2%). NTSCI patients (n=292) were 5 years older at injury, more likely to be female (68.1% male) and had a range of diagnoses.

CONCLUSION

This study supports the suggestion that demographic profiles in SCI are subject to change. In this population, of particular concern is the increasing number of older patients and those with high level tetraplegia, due to their increased care needs. Prevention programmes, treatment pathways and service provision need to be adjusted for optimum impact, improved outcome and long-term care for their target population.

摘要

研究设计

一项回顾性队列研究。

目的

回顾创伤性脊髓损伤(TSCI)和非创伤性脊髓损伤(NTSCI)的人口统计学趋势。

研究地点

伊丽莎白女王国家脊髓损伤中心(QENSIU),苏格兰唯一提供TSCI治疗的机构;英国国民医疗服务体系的一个下放地区。

方法

对1994年至2013年间QENSIU数据库进行回顾性分析。该数据库包括苏格兰所有新TSCI患者以及重度NTSCI患者的人口统计学和临床数据。

结果

在这20年期间,苏格兰有1638例新的TSCI病例;75.2%发生在男性。TSCI发病率无显著增加(从每百万人口13.3例增至17.0例),而TSCI发生时的平均年龄显著增加(从44.1岁至52.6岁),因跌倒导致的TSCI比例增加(从41%至60%),入院时美国脊髓损伤协会损伤量表评分为C和D的TSCI比例增加(分别从19.7%至28.6%和34.5%至39.5%),以及颈椎TSCI比例增加(从58.4%至66.3%)。颈椎TSCI的增加尤其归因于C1 - C4节段损伤的增加(从21.7%至31.2%)。NTSCI患者(n = 292)受伤时年龄大5岁,更可能为女性(男性占68.1%),且有一系列诊断结果。

结论

本研究支持脊髓损伤的人口统计学特征会发生变化这一观点。在该人群中,特别值得关注的是老年患者和高位四肢瘫患者数量的增加,因为他们的护理需求增加。预防计划、治疗途径和服务提供需要进行调整,以对目标人群产生最佳影响、改善治疗结果并提供长期护理。

https://cdn.ncbi.nlm.nih.gov/pmc/blobs/d781/5399148/e1e250be8c91/sc2015167f1.jpg

文献AI研究员

20分钟写一篇综述,助力文献阅读效率提升50倍。

立即体验

用中文搜PubMed

大模型驱动的PubMed中文搜索引擎

马上搜索

文档翻译

学术文献翻译模型,支持多种主流文档格式。

立即体验