Suppr超能文献

超临界CO2萃取法所得生姜和迷迭香粗提物对巨噬细胞和肿瘤细胞系的体外抗炎作用评估:溶媒类型的影响

Evaluation of in vitro anti-inflammatory effects of crude ginger and rosemary extracts obtained through supercritical CO2 extraction on macrophage and tumor cell line: the influence of vehicle type.

作者信息

Justo Oselys Rodriguez, Simioni Patricia Ucelli, Gabriel Dirce Lima, Tamashiro Wirla Maria da Silva Cunha, Rosa Paulo de Tarso Vieira, Moraes Ângela Maria

机构信息

Department of Engineering of Materials and of Bioprocesses - School of Chemical Engineering, University of Campinas, 13083-852, Campinas, SP, Brazil.

Department of Genetics, Evolution and Bioagents - Institute of Biology, University of Campinas, 13083-970, Campinas, SP, Brazil.

出版信息

BMC Complement Altern Med. 2015 Oct 29;15:390. doi: 10.1186/s12906-015-0896-9.

Abstract

BACKGROUND

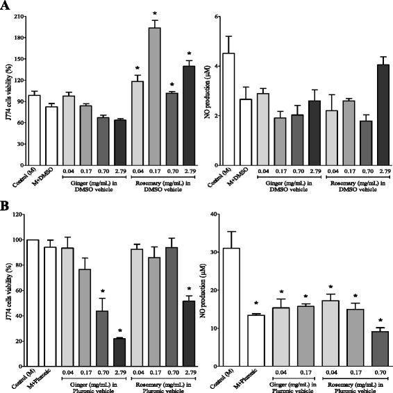
Numerous plants from have been investigated due to their anti-inflammatory activity and, among then, extracts or components of ginger (Zingiber officinale Roscoe) and rosemary (Rosmarinus officinalis L.), sources of polyphenolic compounds. 6-gingerol from ginger rhizome and carnosic acid and carnosol from rosemary leaves present anti-tumor, anti-inflammatory and antioxidant activities. However, the evaluation of the mechanisms of action of these and other plant extracts is limited due to their high hydrophobicity. Dimethylsulfoxide (DMSO) is commonly used as a vehicle of liposoluble materials to mammalian cells in vitro, presenting enhanced cell penetration. Liposomes are also able to efficiently deliver agents to mammalian cells, being capable to incorporate in their structure not only hydrophobic molecules, but also hydrophilic and amphiphilic compounds. Another strategy is based on the use of Pluronic F-68, a biocompatible low-foaming, non-ionic surfactant, to disperse hydrophobic components. Here, these three delivery approaches were compared to analyze their influence on the in vitro anti-inflammatory effects of ginger and rosemary extracts, at different concentrations, on primary mammalian cells and on a tumor cell line.

METHODS

Ginger and rosemary extracts free of organic solvents were obtained by supercritical fluid extraction and dispersed in DMSO, Pluronic F-68 or liposomes, in variable concentrations. Cell viability, production of inflammatory mediators and nitric oxide (NO) release were measured in vitro on J774 cell line and murine macrophages primary culture stimulated with bacterial lipopolysaccharide and interferon-γ after being exposed or not to these extracts.

RESULTS

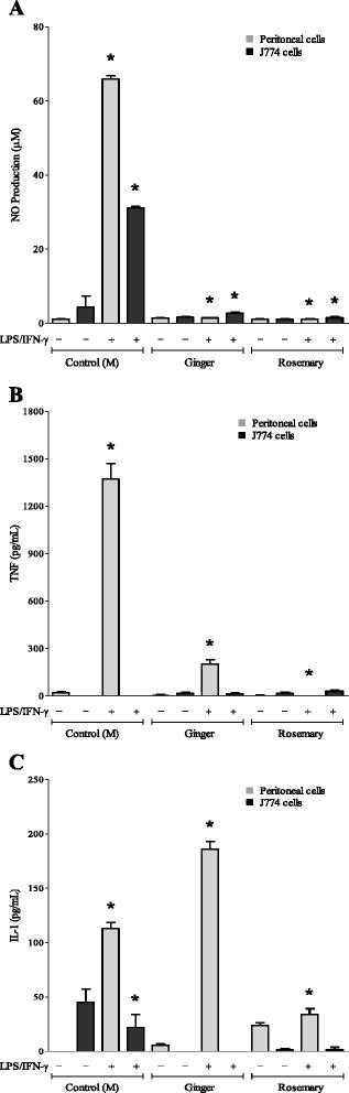
Ginger and rosemary extracts obtained by supercritical CO2 extraction inhibited the production of pro-inflammatory cytokines and the release of NO by peritoneal macrophages and J774 cells. The delivery vehicles influenced the anti-inflammatory effects. Comparatively, the ginger extract showed the highest anti-inflammatory activity on the tumor cell line. Controversially, rosemary extract dispersed on DMSO induced a more significant IL-1 and TNF-α reduction than ginger extract in primary macrophages.

CONCLUSIONS

Amongst the tested delivery vehicles, DMSO was the most suitable, presenting reduced cytotoxicity, followed by Pluronic F-68 and liposomes, provably due to differences in their form of absorption, distribution and cellular metabolism. Co-administration of liposomes and plant extracts may cause death of macrophages cells and induction of NO production. It can be concluded that some of the beneficial effects attributed to extracts of ginger and rosemary may be associated with the inhibition of inflammatory mediators due to their high antioxidant activity. However, these effects were influenced by the type of delivery vehicle.

摘要

背景

许多植物因其抗炎活性而受到研究,其中,姜(姜科姜属植物姜Zingiber officinale Roscoe)和迷迭香(唇形科迷迭香属植物迷迭香Rosmarinus officinalis L.)的提取物或成分是多酚类化合物的来源。姜根茎中的6-姜酚以及迷迭香叶中的鼠尾草酸和鼠尾草酚具有抗肿瘤、抗炎和抗氧化活性。然而,由于这些植物提取物及其他植物提取物具有高疏水性,对其作用机制的评估有限。二甲基亚砜(DMSO)通常用作脂溶性物质体外导入哺乳动物细胞的载体,具有增强的细胞穿透性。脂质体也能够有效地将药物递送至哺乳动物细胞,不仅能够在其结构中掺入疏水分子,还能掺入亲水性和两亲性化合物。另一种策略是基于使用普朗尼克F-68,一种生物相容性低泡非离子表面活性剂,来分散疏水性成分。在此,比较了这三种递送方法,以分析它们在不同浓度下对姜和迷迭香提取物体外抗炎作用的影响,这些提取物作用于原代哺乳动物细胞和一种肿瘤细胞系。

方法

通过超临界流体萃取获得无有机溶剂的姜和迷迭香提取物,并将其分散在不同浓度的DMSO、普朗尼克F-68或脂质体中。在J774细胞系和用细菌脂多糖和干扰素-γ刺激的小鼠巨噬细胞原代培养物中,在暴露或未暴露于这些提取物后,体外测量细胞活力、炎症介质的产生和一氧化氮(NO)的释放。

结果

通过超临界CO2萃取获得的姜和迷迭香提取物抑制了腹膜巨噬细胞和J774细胞中促炎细胞因子的产生和NO的释放。递送载体影响抗炎效果。相比之下,姜提取物对肿瘤细胞系显示出最高的抗炎活性。有争议的是,在原代巨噬细胞中,分散在DMSO中的迷迭香提取物比姜提取物诱导更显著的IL-1和TNF-α减少。

结论

在所测试的递送载体中,DMSO是最合适的,具有降低的细胞毒性,其次是普朗尼克F-68和脂质体,这可能是由于它们在吸收、分布和细胞代谢形式上的差异。脂质体与植物提取物的共同给药可能导致巨噬细胞死亡并诱导NO产生。可以得出结论,姜和迷迭香提取物的一些有益作用可能与其高抗氧化活性导致的炎症介质抑制有关。然而,这些作用受到递送载体类型的影响。

https://cdn.ncbi.nlm.nih.gov/pmc/blobs/7fd3/4625945/48250fbe808b/12906_2015_896_Fig1_HTML.jpg

文献AI研究员

20分钟写一篇综述,助力文献阅读效率提升50倍。

立即体验

用中文搜PubMed

大模型驱动的PubMed中文搜索引擎

马上搜索

文档翻译

学术文献翻译模型,支持多种主流文档格式。

立即体验