Suppr超能文献

肥胖与小鼠肝脏、下丘脑、脂肪组织和血浆中氧化甾醇代谢及水平的变化有关。

Obesity is associated with changes in oxysterol metabolism and levels in mice liver, hypothalamus, adipose tissue and plasma.

作者信息

Guillemot-Legris Owein, Mutemberezi Valentin, Cani Patrice D, Muccioli Giulio G

机构信息

Bioanalysis and Pharmacology of Bioactive Lipids Research Group, Louvain Drug Research Institute, Université catholique de Louvain, Belgium.

Metabolism and Nutrition Research Group, WELBIO- Walloon Excellence in Life Sciences and BIOtechnology, Louvain Drug Research Institute, Université catholique de Louvain, Brussels, Belgium.

出版信息

Sci Rep. 2016 Jan 22;6:19694. doi: 10.1038/srep19694.

Abstract

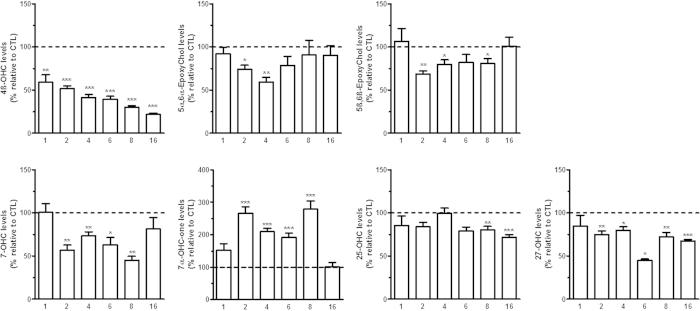
Oxysterols are bioactive lipids derived from cholesterol that are linked to inflammatory processes. Because obesity and metabolic syndrome are characterized by inflammation and altered cholesterol metabolism, we sought to investigate the variations of oxysterol levels and their metabolic pathways induced by obesity in the liver, hypothalamus, adipose tissue and plasma. To this end, we used diet-induced and genetic (ob/ob and db/db) models of obesity. Among the oxysterols measured, we found that 4β-oxysterol levels were consistently decreased in the high-fat diet study, at different time-points, and in the ob/ob model. Overall, we did not find any correlation between cytochromes mRNA expression and variations of oxysterol levels. We also measured the levels of hepatic primary bile acids, in these three models and found similar profiles between HFD and ob/ob mice. However, although they are downstream metabolites of oxysterols, the variations in bile acid levels did not reflect the variations of their precursors. Our data show that, when considering oxysterol metabolism, the high-fat diet and ob/ob models are more closely related when compared to the db/db model. However, we were able to discriminate between lean and obese phenotypes based on liver oxysterol (4β-hydroxycholesterol, 27- hydroxycholesterol, 7-hydroxycholestenone) levels and enzyme (CYP3A11, CYP27A1, CYP7A1) expression.

摘要

氧化甾醇是一类源自胆固醇的生物活性脂质,与炎症过程相关。由于肥胖和代谢综合征的特征是炎症以及胆固醇代谢改变,我们试图研究肥胖在肝脏、下丘脑、脂肪组织和血浆中所诱导的氧化甾醇水平变化及其代谢途径。为此,我们使用了饮食诱导和基因(ob/ob和db/db)肥胖模型。在所测定的氧化甾醇中,我们发现在高脂饮食研究中、在不同时间点以及在ob/ob模型中,4β-氧化甾醇水平持续降低。总体而言,我们未发现细胞色素mRNA表达与氧化甾醇水平变化之间存在任何相关性。我们还在这三种模型中测量了肝脏初级胆汁酸的水平,发现高脂饮食小鼠和ob/ob小鼠之间具有相似的特征。然而,尽管它们是氧化甾醇的下游代谢产物,但胆汁酸水平的变化并未反映其前体的变化。我们的数据表明,在考虑氧化甾醇代谢时,与db/db模型相比,高脂饮食模型和ob/ob模型的关系更为密切。然而,我们能够基于肝脏氧化甾醇(4β-羟基胆固醇、27-羟基胆固醇、7-羟基胆甾烯酮)水平和酶(CYP3A11、CYP27A1、CYP7A1)表达来区分瘦型和肥胖型表型。

https://cdn.ncbi.nlm.nih.gov/pmc/blobs/b3cd/4726335/59dc3494df93/srep19694-f1.jpg

文献AI研究员

20分钟写一篇综述,助力文献阅读效率提升50倍。

立即体验

用中文搜PubMed

大模型驱动的PubMed中文搜索引擎

马上搜索

文档翻译

学术文献翻译模型,支持多种主流文档格式。

立即体验