Suppr超能文献

双层光纤涂层分析中带有滑移条件的 Phan-Thein-Tanner 流体的稳定流动和传热分析。

Steady flow and heat transfer analysis of Phan-Thein-Tanner fluid in double-layer optical fiber coating analysis with Slip Conditions.

机构信息

Department of Mathematics, Abdul Wali Khan University, Mardan, KPK, Pakistan.

Department of Computer Science and IT, Sarhad University of Science and IT, KPK, Pakistan.

出版信息

Sci Rep. 2016 Oct 6;6:34593. doi: 10.1038/srep34593.

Abstract

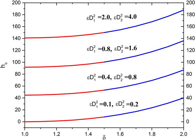
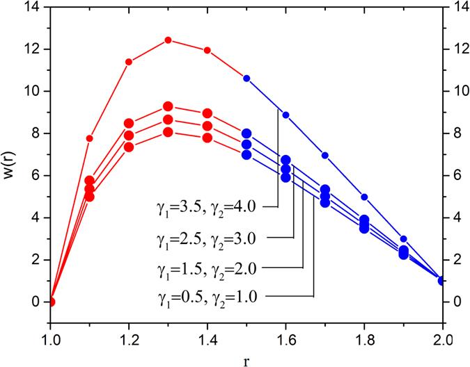
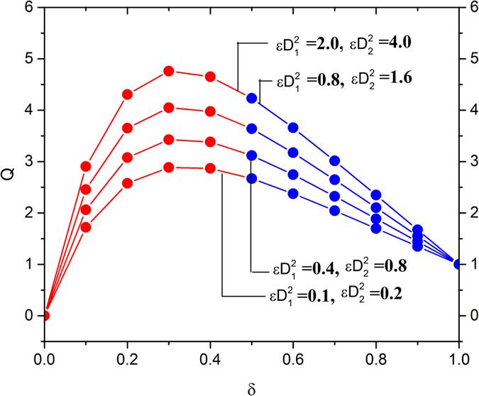
Modern optical fibers require double-layer coating on the glass fiber to provide protection from signal attenuation and mechanical damage. The most important plastic resins used in wires and optical fibers are plastic polyvinyl chloride (PVC) and low-high density polyethylene (LDPE/HDPE), nylon and Polysulfone. In this paper, double-layer optical fiber coating is performed using melt polymer satisfying PTT fluid model in a pressure type die using wet-on-wet coating process. The assumption of fully developed flow of Phan-Thien-Tanner (PTT) fluid model, two-layer liquid flows of an immiscible fluid is modeled in an annular die, where the fiber is dragged at a higher speed. The equations characterizing the flow and heat transfer phenomena are solved exactly and the effects of emerging parameters (Deborah and slip parameters, characteristic velocity, radii ratio and Brinkman numbers on the axial velocity, flow rate, thickness of coated fiber optics, and temperature distribution) are reported in graphs. It is shown that an increase in the non-Newtonian parameters increase the velocity in the absence or presence of slip parameters which coincides with related work. The comparison is done with experimental work by taking λ → 0 (non-Newtonian parameter).

摘要

现代光纤需要在玻璃纤维上进行双层涂覆,以提供对信号衰减和机械损伤的保护。在电线和光纤中使用的最重要的塑料树脂是聚氯乙烯(PVC)和低密度/高密度聚乙烯(LDPE/HDPE)、尼龙和聚砜。本文使用满足 PTT 流体模型的熔融聚合物,在压力型模具中通过湿对湿涂层工艺对双层光纤涂层进行了处理。假设完全发展的 Phan-Thien-Tanner(PTT)流体模型流动,在环形模具中对不混溶流体的两层液体流动进行建模,其中纤维以更高的速度被拖动。准确求解了描述流动和传热现象的方程,并以图形形式报告了新兴参数(Deborah 和滑移参数、特征速度、半径比和 Brinkman 数对轴向速度、流量、涂覆光纤的厚度和温度分布的影响)。结果表明,在不存在或存在滑移参数的情况下,非牛顿参数的增加会增加速度,这与相关工作一致。通过取 λ→0(非牛顿参数)与实验工作进行了比较。

https://cdn.ncbi.nlm.nih.gov/pmc/blobs/fd36/5052562/8e83d706cf18/srep34593-f1.jpg

文献AI研究员

20分钟写一篇综述,助力文献阅读效率提升50倍。

立即体验

用中文搜PubMed

大模型驱动的PubMed中文搜索引擎

马上搜索

文档翻译

学术文献翻译模型,支持多种主流文档格式。

立即体验