Suppr超能文献

VEGF-siRNA/CRS作为一种新型基因递送载体的设计、合成与评估

Design, synthesis and evaluation of VEGF-siRNA/CRS as a novel vector for gene delivery.

作者信息

Zhao Wen, Zhang Yifan, Jiang Xueyun, Cui Chunying

机构信息

School of Chemical Biology and Pharmaceutical Sciences, Capital Medical University, Beijing, China.

出版信息

Drug Des Devel Ther. 2016 Nov 24;10:3851-3865. doi: 10.2147/DDDT.S118461. eCollection 2016.

Abstract

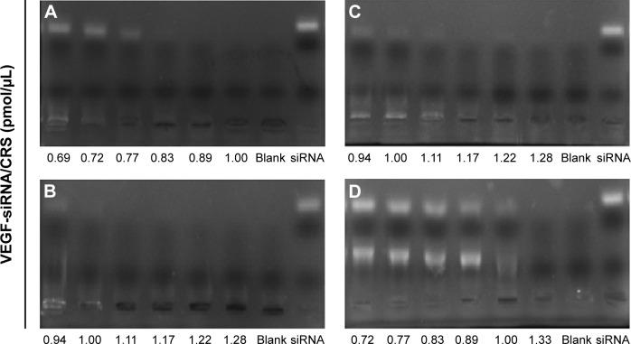
Small interfering RNA (siRNA) delivery is a prospective method in gene therapy, but it has application limitations such as negative charge, water solubility and high molecular weight. In this study, a safe and efficient nano-vector, CRS, was designed and synthesized to facilitate siRNA delivery. Physical and chemical properties of VEGF-siRNA/CRS were characterized by methods including scanning electron microscopy (SEM), transmission electron microscopy, zeta potential () measurement, drug-releasing rate measurement, gel electrophoresis and confocal microscopy. The biological activities were evaluated using cell viability assay, gene-silencing efficacy assay in vitro, real-time polymerase chain reaction, enzyme-linked immunosorbent assay (ELISA) and antitumor tests in vivo. The mean nanoparticle size of VEGF-siRNA/CRS was 121.4±0.3 nm with positive potential of 7.69±4.47 mV. The release rate of VEGF-siRNA from VEGF-siRNA/CRS was 82.50% sustained for 48 h in Tris-ethylenediaminetetraacetic acid buffer (pH 8.0). Real-time polymerase chain reaction was used to analyze the efficiency of the transfection, and the result showed that VEGF mRNA expression had been knocked down by 82.36%. The expression of VEGF protein was also recorded to be downregulated to 14.83% using ELISA. The results of cytotoxicity measured by Cell Counting Kit-8 assay showed that VEGF-siRNA/CRS had significant inhibitory effect on HeLa cells. The results of antitumor assays indicated that VEGF-siRNA/CRS exhibited tumor cell growth inhibition in vivo. The results demonstrated that VEGF-siRNA could be delivered and transported by the designed carrier, while siRNA could be released constantly and led to an increasing gene-silencing effect against VEGF gene. In conclusion, VEGF-siRNA/CRS is a promising carrier for siRNA delivery, and further studies are warranted.

摘要

小分子干扰RNA(siRNA)递送是基因治疗中的一种前瞻性方法,但它存在诸如带负电荷、水溶性和高分子量等应用局限性。在本研究中,设计并合成了一种安全高效的纳米载体CRS,以促进siRNA递送。通过扫描电子显微镜(SEM)、透射电子显微镜、ζ电位测量、药物释放速率测量、凝胶电泳和共聚焦显微镜等方法对VEGF-siRNA/CRS的物理和化学性质进行了表征。使用细胞活力测定、体外基因沉默功效测定、实时聚合酶链反应、酶联免疫吸附测定(ELISA)和体内抗肿瘤试验评估了其生物学活性。VEGF-siRNA/CRS的平均纳米颗粒尺寸为121.4±0.3 nm,正ζ电位为7.69±4.47 mV。在Tris-乙二胺四乙酸缓冲液(pH 8.0)中,VEGF-siRNA从VEGF-siRNA/CRS的释放率在48小时内持续为82.50%。使用实时聚合酶链反应分析转染效率,结果表明VEGF mRNA表达被敲低了82.36%。使用ELISA还记录到VEGF蛋白的表达下调至14.83%。通过细胞计数试剂盒-8测定法测量的细胞毒性结果表明,VEGF-siRNA/CRS对HeLa细胞具有显著的抑制作用。抗肿瘤试验结果表明,VEGF-siRNA/CRS在体内表现出肿瘤细胞生长抑制作用。结果表明,VEGF-siRNA可以由设计的载体递送和运输,而siRNA可以持续释放并导致对VEGF基因的基因沉默作用增强。总之,VEGF-siRNA/CRS是一种有前景的siRNA递送载体,值得进一步研究。

https://cdn.ncbi.nlm.nih.gov/pmc/blobs/b331/5125806/5003ec9fbd6e/dddt-10-3851Fig1.jpg

文献AI研究员

20分钟写一篇综述,助力文献阅读效率提升50倍。

立即体验

用中文搜PubMed

大模型驱动的PubMed中文搜索引擎

马上搜索

文档翻译

学术文献翻译模型,支持多种主流文档格式。

立即体验