Suppr超能文献

单引导 RNA 特异性分析揭示了一个错配敏感的核心序列。

Profiling single-guide RNA specificity reveals a mismatch sensitive core sequence.

机构信息

State Key Laboratory of Natural and Biomimetic Drugs, School of Pharmaceutical Sciences, Peking University, Beijing 100191, China.

Biomics Biotechnologies co. Ltd, Nantong 226016, Jiangsu Province, China.

出版信息

Sci Rep. 2017 Jan 18;7:40638. doi: 10.1038/srep40638.

Abstract

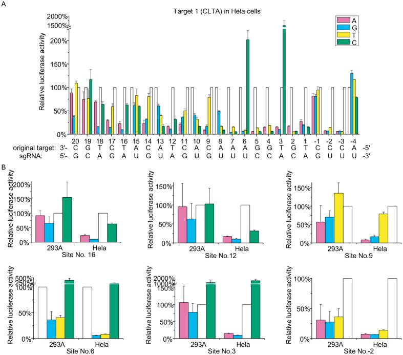
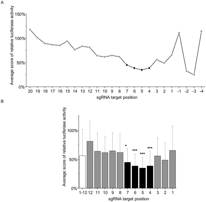
Targeting specificity is an essential issue in the development of CRISPR-Cas technology. Using a luciferase activation assay, off-target cleavage activity of sgRNA was systematically investigated on single nucleotide-mismatched targets. In addition to confirming that PAM-proximal mismatches are less tolerated than PAM-distal mismatches, our study further identified a "core" sequence that is highly sensitive to target-mismatch. This sequence is of 4-nucleotide long, located at +4 to +7 position upstream of PAM, and positioned in a steric restriction region when assembled into Cas9 endonuclease. Our study also found that, single or multiple target mismatches at this region abolished off-target cleavage mediated by active sgRNAs, thus proposing a principle for gene-specific sgRNA design. Characterization of a mismatch sensitive "core" sequence not only enhances our understanding of how this elegant system functions, but also facilitates our efforts to improve targeting specificity of a sgRNA.

摘要

靶向特异性是 CRISPR-Cas 技术发展中的一个关键问题。本研究通过荧光素酶激活检测实验,系统地研究了 sgRNA 在单碱基错配靶标上的脱靶切割活性。除了证实 PAM 近端错配比 PAM 远端错配的容忍度更低外,我们的研究还进一步鉴定了一个对靶标错配高度敏感的“核心”序列。该序列长 4 个核苷酸,位于 PAM 上游+4 到+7 位,当组装到 Cas9 内切酶时,位于空间位阻限制区域。我们的研究还发现,该区域的单个或多个靶标错配会使活性 sgRNA 介导的脱靶切割失效,从而为基因特异性 sgRNA 设计提出了一个原则。对这个敏感的“核心”序列的特征分析不仅增强了我们对这个优雅系统如何发挥作用的理解,而且有助于我们努力提高 sgRNA 的靶向特异性。

https://cdn.ncbi.nlm.nih.gov/pmc/blobs/2a44/5241822/068d5c5ec7e0/srep40638-f1.jpg

文献AI研究员

20分钟写一篇综述,助力文献阅读效率提升50倍。

立即体验

用中文搜PubMed

大模型驱动的PubMed中文搜索引擎

马上搜索

文档翻译

学术文献翻译模型,支持多种主流文档格式。

立即体验