Suppr超能文献

无细胞百日咳疫苗的效力:一项更新的系统评价与荟萃分析

Acellular pertussis vaccine efficacy: An updated systematic review and meta -analysis.

作者信息

Mansour-Ghanaei Roxana, Moradi-Lakeh Maziar, Shakerian Sareh, Karimi Abdollah, Esmaeeli Shooka, Shokraneh Farhad, Mahmoudi Susan, Yaghoubi Mohsen

机构信息

MD, Pediatric Infectious Specialist, Pediatric Infections Research Center, Mofid children Hospital, Shahid Beheshti University of Medical Sciences, Tehran, Iran.

MD, Community Medicine Specialist, Preventive Medicine and Public Health Research Center, Department of Community Medicine, Iran University of Medical Sciences, Tehran, Iran.

出版信息

Med J Islam Repub Iran. 2016 Nov 29;30:451. eCollection 2016.

Abstract

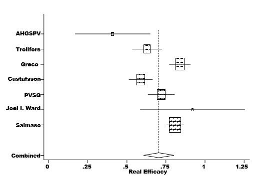
Recent studies indicate an increased incidence of pertussis disease in recent years. The aim of this study was to evaluate the efficacy of the acellular vaccine for children (as a replacement of current whole cell vaccine in the Expanded Program on Immunization) and for high-risk adults in Iran through updating current best available evidence. We performed a systematic literature review in relevant databases we focused on previously published systematic reviews to select those that address our questions. The AMSTAR (assessing the methodological quality of systematic reviews) tool was used for screening available reviews. Then search in databases was done until Feb 2014 to update the evidence. We pooled results using meta-analysis methods by Stata statistical package. Eleven systematic review articles were included in the initial evaluation. In the end, two systematic reviews on acellular vaccine booster doses and the acellular vaccine in children were selected as the baseline evidence. In the update phase, new clinical trials were screened, and the results were updated. Overall pooled estimate of relative efficacy of acellular to whole cell was 0.68 (95% CI, 0.55-0.81) for children immunization Pooled estimates for the efficacy of acellular versus placebo were 0.70 (95% CI, 0.60-0.80). Overall pooled estimate of efficacy of booster dose of acellular was 0.87(95% CI, 0.85-0.88) compared to placebo. In addition pooled estimate of acellular vaccine efficacy based on response to antigen was 0.78(95% CI, 0.64-0.93) in highrisk group. The results show higher performance and safety of the acellular vaccine in the prevention of pertussis in children versus the whole cell vaccine. Moreover, the efficacy of the acellular vaccine in high-risk adult groups is acceptable. This study provides evidence in favor of the introduction of an acellular vaccine to the national program of immunization. Studies on cost effectiveness and aspects of policy analysis are recommended.

摘要

近期研究表明,近年来百日咳疾病的发病率有所上升。本研究的目的是通过更新当前最佳可得证据,评估无细胞疫苗对伊朗儿童(作为扩大免疫规划中现有全细胞疫苗的替代品)和高危成年人的有效性。我们在相关数据库中进行了系统的文献综述,重点关注先前发表的系统评价,以筛选出能解决我们问题的研究。使用AMSTAR(评估系统评价的方法学质量)工具筛选可用的综述。然后在数据库中进行检索,直至2014年2月以更新证据。我们使用Stata统计软件包通过荟萃分析方法汇总结果。初步评估纳入了11篇系统评价文章。最后,选择了两篇关于无细胞疫苗加强剂量和儿童无细胞疫苗的系统评价作为基线证据。在更新阶段,筛选了新的临床试验并更新了结果。儿童免疫接种时,无细胞疫苗相对于全细胞疫苗的总体相对疗效汇总估计值为0.68(95%置信区间,0.55 - 0.81)。无细胞疫苗与安慰剂相比的疗效汇总估计值为0.70(95%置信区间,0.60 - 0.80)。与安慰剂相比,无细胞疫苗加强剂量的总体疗效汇总估计值为0.87(95%置信区间,0.85 - 0.88)。此外,高危组中基于对抗原反应的无细胞疫苗疗效汇总估计值为0.7

https://cdn.ncbi.nlm.nih.gov/pmc/blobs/639d/5419227/030895d5c3fe/mjiri-30-451-g001.jpg

文献AI研究员

20分钟写一篇综述,助力文献阅读效率提升50倍。

立即体验

用中文搜PubMed

大模型驱动的PubMed中文搜索引擎

马上搜索

文档翻译

学术文献翻译模型,支持多种主流文档格式。

立即体验