Suppr超能文献

丙型肝炎病毒马赛克风险评分的开发与验证,以辅助对男男性行为者(MSM)感染艾滋病毒者进行急性丙型肝炎病毒(HCV)感染检测。

Development and validation of the HCV-MOSAIC risk score to assist testing for acute hepatitis C virus (HCV) infection in HIV-infected men who have sex with men (MSM).

作者信息

Newsum Astrid M, Stolte Ineke G, van der Meer Jan Tm, Schinkel Janke, van der Valk Marc, Vanhommerig Joost W, Buvé Anne, Danta Mark, Hogewoning Arjan, Prins Maria

机构信息

Department of Infectious Diseases Research and Prevention, Public Health Service of Amsterdam, Amsterdam, the Netherlands.

Department of Internal Medicine, Center for Infection and Immunity Amsterdam (CINIMA), Academic Medical Center, Amsterdam, the Netherlands.

出版信息

Euro Surveill. 2017 May 25;22(21). doi: 10.2807/1560-7917.ES.2017.22.21.30540.

Abstract

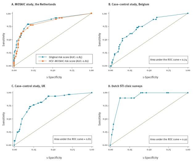
Current guidelines recommend hepatitis C virus (HCV) testing for HIV-infected men who have sex with men (MSM) with ongoing risk behaviour, without specifying the type of risk behaviour. We developed and validated the HCV-MOSAIC risk score to assist HCV testing in HIV-infected MSM. The risk score consisted of six self-reported risk factors identified using multivariable logistic regression using data from the Dutch MOSAIC study (n = 213, 2009-2013). Area under the ROC curve (AUC), sensitivity, specificity, post-test-probability-of-disease and diagnostic gain were calculated. The risk score was validated in case-control studies from Belgium (n = 142, 2010-2013) and the United Kingdom (n = 190, 2003-2005) and in cross-sectional surveys at a Dutch sexually transmitted infections clinic (n = 284, 2007-2009). The AUC was 0.82; sensitivity 78.0% and specificity 78.6%. In the validation studies sensitivity ranged from 73.1% to 100% and specificity from 56.2% to 65.6%. The post-test-probability-of-disease ranged from 5.9% to 20.0% given acute HCV prevalence of 1.7% to 6.4%, yielding a diagnostic gain of 4.2% to 13.6%. The HCV-MOSAIC risk score can successfully identify HIV-infected MSM at risk for acute HCV infection. It could be a promising tool to improve HCV testing strategies in various settings.

摘要

当前指南建议,对有持续高危行为的男男性接触者(MSM)中的艾滋病毒感染者进行丙型肝炎病毒(HCV)检测,但未明确指出高危行为的类型。我们开发并验证了HCV - MOSAIC风险评分,以协助对感染艾滋病毒的男男性接触者进行HCV检测。该风险评分由六个自我报告的风险因素组成,这些因素是利用荷兰MOSAIC研究(n = 213,2009 - 2013年)的数据通过多变量逻辑回归确定的。计算了ROC曲线下面积(AUC)、敏感性、特异性、疾病后验概率和诊断增益。该风险评分在比利时(n = 142,2010 - 至2013年)和英国(n = 190,2003 - 2005年)的病例对照研究以及荷兰一家性传播感染诊所的横断面调查(n = 284,2007 - 2009年)中得到验证。AUC为0.82;敏感性为78.0%,特异性为78.6%。在验证研究中,敏感性范围为73.1%至100%,特异性范围为56.2%至65.6%。鉴于急性HCV患病率为1.7%至6.%.4%时,疾病后验概率范围为5.9%至20.0%,诊断增益为4.2%至13.6%。HCV - MOSAIC风险评分可以成功识别有急性HCV感染风险的艾滋病毒感染男男性接触者。它可能是一种有前景的工具,可用于改善各种环境下的HCV检测策略。

https://cdn.ncbi.nlm.nih.gov/pmc/blobs/ca5f/5479984/94ad3a48fcec/eurosurv-22-30540-f1.jpg

文献AI研究员

20分钟写一篇综述,助力文献阅读效率提升50倍。

立即体验

用中文搜PubMed

大模型驱动的PubMed中文搜索引擎

马上搜索

文档翻译

学术文献翻译模型,支持多种主流文档格式。

立即体验