Suppr超能文献

L-精氨酸对链脲佐菌素诱导的糖尿病大鼠顺铂所致肾毒性的保护作用

The Protective Effect of L-arginine in Cisplatin-induced Nephrotoxicity in Streptozotocin-induced Diabetic Rats.

作者信息

Gharibi Fatemeh, Soltani Nepton, Maleki Maryam, Talebi Ardeshir, Nasiri Masoumeh, Shirdavani Soheyla, Nematbakhsh Mehdi

机构信息

Water and Electrolytes Research Center, Isfahan University of Medical Sciences, Isfahan, Iran.

Department of Physiology, Isfahan University of Medical Sciences, Isfahan, Iran.

出版信息

Adv Biomed Res. 2017 Aug 14;6:100. doi: 10.4103/2277-9175.212928. eCollection 2017.

Abstract

BACKGROUND

Cisplatin (CP) is accompanied with a nephrotoxicity. L-arginine (LA) plays an important role in the regulation of renal function. The present study was designed to investigate the protective role of LA supplementation in CP-induced nephrotoxicity in a diabetic rat's model.

MATERIALS AND METHODS

Sixteen adult female and male Wistar rats were used and they received a single dose of streptozotocin (STZ) (60 mg/kg i.p.). Diabetic female and male rats were arranged as groups 1-5 and groups 6-10, respectively. Groups 1 and 6 (LA groups) received LA alone. Groups 2 and 7 (CP groups) received CP alone. Groups 3 and 8 (CP + LA [PT] groups) received LA as prophylaxis and then treated with LA and CP. Groups 4 and 9 (CP + LA [T] groups) were treated with LA and CP simultaneously. Groups 5 and 10 (CP + LA [P] groups) received LA as prophylaxis and then treated with CP.

RESULTS

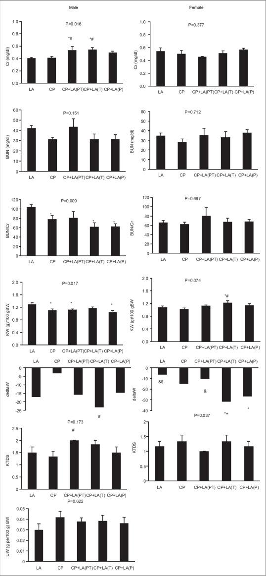
The serum creatinine (Cr) level of males in Groups 8 and 9 was significantly increased when compared with LA and CP ( < 0.05), whereas no differences were observed in Cr level in female groups. Blood urea nitrogen/Cr ratio and kidney weight were reduced in all CP-receiving male rats. Such observation was not seen in female rats. Different results related to weight loss were obtained between male and female animals. The kidney tissue damage score in CP + LA (PT) male group was significantly greater than CP group ( < 0.05).

CONCLUSION

Our findings indicate that administration of LA in female and male rats has no protective effect on the severity of nephrotoxicity induced by CP in diabetic rats.

摘要

背景

顺铂(CP)具有肾毒性。L-精氨酸(LA)在肾功能调节中起重要作用。本研究旨在探讨补充LA对糖尿病大鼠模型中CP诱导的肾毒性的保护作用。

材料与方法

使用16只成年雌性和雄性Wistar大鼠,它们接受单剂量链脲佐菌素(STZ)(60mg/kg腹腔注射)。糖尿病雌性和雄性大鼠分别分为1-5组和6-10组。第1组和第6组(LA组)仅接受LA。第2组和第7组(CP组)仅接受CP。第3组和第8组(CP+LA[PT]组)先接受LA预防,然后用LA和CP治疗。第4组和第9组(CP+LA[T]组)同时用LA和CP治疗。第5组和第10组(CP+LA[P]组)先接受LA预防,然后用CP治疗。

结果

与LA组和CP组相比,第8组和第9组雄性大鼠的血清肌酐(Cr)水平显著升高(<0.05),而雌性组的Cr水平未观察到差异。所有接受CP的雄性大鼠的血尿素氮/Cr比值和肾脏重量均降低。雌性大鼠未观察到此类现象。雄性和雌性动物在体重减轻方面获得了不同的结果。CP+LA(PT)雄性组的肾组织损伤评分显著高于CP组(<0.05)。

结论

我们的研究结果表明,在雌性和雄性大鼠中给予LA对糖尿病大鼠中CP诱导的肾毒性严重程度没有保护作用。

https://cdn.ncbi.nlm.nih.gov/pmc/blobs/45c7/5583628/84b668b1e7ab/ABR-6-100-g001.jpg

文献AI研究员

20分钟写一篇综述,助力文献阅读效率提升50倍。

立即体验

用中文搜PubMed

大模型驱动的PubMed中文搜索引擎

马上搜索

文档翻译

学术文献翻译模型,支持多种主流文档格式。

立即体验