Suppr超能文献

市售淡竹叶中的黄酮苷及其色谱指纹图谱与定量分析

Flavone glycosides from commercially available Lophatheri Herba and their chromatographic fingerprinting and quantitation.

作者信息

Fan Jyun-Siang, Lee I-Jung, Lin Yun-Lian

机构信息

National Research Institute of Chinese Medicine, Taipei 112, Taiwan.

School of Pharmacy, National Taiwan University, Taipei 100, Taiwan.

出版信息

J Food Drug Anal. 2015 Dec;23(4):821-827. doi: 10.1016/j.jfda.2015.05.003. Epub 2015 Aug 24.

Abstract

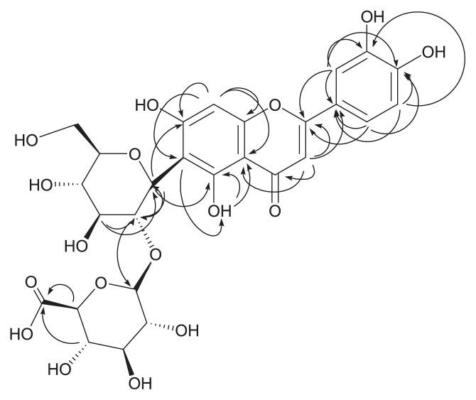
Lophatheri Herba (Danzhuye; LH), the dried leaves of Lophatherum gracile Brongn (Poaceae), is commonly used in Chinese herbal medicine as an antipyretic, antibacterial, and diuretic. Chemical analysis has been conducted to isolate and identify seven major flavonoid glycosides, including a new flavone C-glycoside, luteolin 6-C-β-D-glucuronopyranosyl-(1→2)-β-D-glucopyranoside (1), isoorientin (2), swertiajaponin (3), luteolin 6-C-β-D-glucuronopyranosyl-(1→2)-α-L-arabinopyranoside (4), isovitexin (5), swertisin (6), luteolin 7-O-β-D-glucopyranoside (7), and luteolin 6-C-α-L-arabinopyranoside (8), from commercially available LHs in Taiwan. The structure of the new compound (1), the maximum component, was determined by extensive one- (1D-) and two-dimensional (2D-) nuclear magnetic resonance (NMR), and MS spectral analyses. The H and C-NMR of two rotameric pairs of 3 and 6 were also assigned. To establish the quality control platform of LH, we developed a simultaneous determination of multiple components in 10 commercially available LHs, collected from different areas of Taiwan, by high performance liquid chromatography (HPLC) and ultra performance liquid chromatography (UPLC), as well as quantitative measurement of the major components 1-4, and 8. All isolated major compounds showed good linear regression (R ≥ 0.9993) within the test ranges and high reproducibility. These methods are readily accessible for the quality control of LH.

摘要

淡竹叶(Lophatheri Herba;LH)为禾本科植物淡竹叶(Lophatherum gracile Brongn)的干燥叶,是一种常用的中药材,具有清热、抗菌和利尿的功效。已对其进行化学分析,从台湾市售的淡竹叶中分离并鉴定出七种主要黄酮苷,包括一种新的黄酮碳苷,木犀草素6-C-β-D-葡萄糖醛酸吡喃糖基-(1→2)-β-D-葡萄糖吡喃糖苷(1)、异荭草苷(2)、獐牙菜苷(3)、木犀草素6-C-β-D-葡萄糖醛酸吡喃糖基-(1→2)-α-L-阿拉伯吡喃糖苷(4)、异牡荆苷(5)、獐牙菜黄素(6)、木犀草素7-O-β-D-葡萄糖吡喃糖苷(7)和木犀草素6-C-α-L-阿拉伯吡喃糖苷(8)。通过广泛的一维(1D)和二维(2D)核磁共振(NMR)以及质谱分析确定了含量最高的新化合物(1)的结构。还对3和6的两对旋转异构体的氢和碳核磁共振信号进行了归属。为建立淡竹叶的质量控制平台,我们开发了通过高效液相色谱(HPLC)和超高效液相色谱(UPLC)同时测定从台湾不同地区收集的10种市售淡竹叶中多种成分的方法,以及对主要成分1-4和8进行定量测定的方法。所有分离得到的主要化合物在测试范围内均显示出良好的线性回归(R≥0.9993)和高重现性。这些方法便于用于淡竹叶的质量控制。

https://cdn.ncbi.nlm.nih.gov/pmc/blobs/f09a/9345457/56b84dd5fe7c/jfda-23-04-821f1.jpg

文献AI研究员

20分钟写一篇综述,助力文献阅读效率提升50倍。

立即体验

用中文搜PubMed

大模型驱动的PubMed中文搜索引擎

马上搜索

文档翻译

学术文献翻译模型,支持多种主流文档格式。

立即体验