Suppr超能文献

CD73-腺苷能通路在实体瘤中的预后价值:一项荟萃分析与系统评价

Prognositic value of CD73-adenosinergic pathway in solid tumor: A meta-analysis and systematic review.

作者信息

Wang Rong, Zhang Yingying, Lin Xia, Gao Yalin, Zhu Ying

机构信息

Department of Gynecology, Cancer Institute, Key Laboratory of Cancer Prevention and Intervention, National Ministry of Education, Provincial Key Laboratory of Molecular Biology in Medical Sciences, The Second Affiliated Hospital, Zhejiang University School of Medicine, Hangzhou 310009, China.

Department of Breast Surgery, First Affiliated Hospital of Zhengzhou University, Zhengzhou 450052, China.

出版信息

Oncotarget. 2017 Apr 6;8(34):57327-57336. doi: 10.18632/oncotarget.16905. eCollection 2017 Aug 22.

Abstract

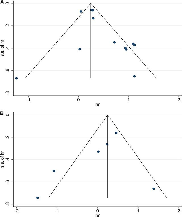
CD73 is a glycosylphosphatidylinositol (GPI) anchored cell surface protein that is encoded by NT5E gene, plays multiple roles in tumor processes. Previous studies have presented a potential value of CD73 served as a detectable biomarker for prognosis of several solid tumors, but the results were more controversially. A comprehensive meta-analysis was conducted to precisely evaluate the prognostic role of CD73 in solid tumors. The included studies were searched in PubMed, Web of Science and EBSCO from Jan 1990 to Jan 2016. Pooled hazard ratios (HR) and corresponding 95% confidence intervals (CI) for overall survival (OS), disease free survival (DFS) were carried out using a fixed or random effects model. Totally, 13 studies about 12,533 patients were included. CD73-high expression was correlating with poor OS (pooled HR = 1.28, 95% CI = 1.19-1.37). In addition, CD73 expression had borderline association with worse DFS (pooled HR = 1.28, 95% CI = 1.01-1.62). Egger's tests indicated that there was no evidence of significant publication bias. CD73 is an efficient prognostic biomarker in solid tumors, and over-expression of CD73 is associated with inverse OS or DFS. But this predictive value and target therapy for clinical practice yet needs advanced research.

摘要

CD73是一种糖基磷脂酰肌醇(GPI)锚定的细胞表面蛋白,由NT5E基因编码,在肿瘤进程中发挥多种作用。以往研究提出CD73作为几种实体瘤预后的可检测生物标志物具有潜在价值,但结果存在更多争议。进行了一项全面的荟萃分析,以精确评估CD73在实体瘤中的预后作用。纳入的研究于1990年1月至2016年1月在PubMed、科学网和EBSCO中检索。使用固定或随机效应模型计算总生存期(OS)、无病生存期(DFS)的合并风险比(HR)及相应的95%置信区间(CI)。总共纳入了关于12533例患者的13项研究。CD73高表达与较差的总生存期相关(合并HR = 1.28,95%CI = 1.19 - 1.37)。此外,CD73表达与较差的无病生存期有临界关联(合并HR = 1.28,95%CI = 1.01 - 1.62)。Egger检验表明没有显著发表偏倚的证据。CD73是实体瘤中一种有效的预后生物标志物,CD73的过表达与总生存期或无病生存期呈负相关。但这种预测价值及在临床实践中的靶向治疗仍需进一步研究。

https://cdn.ncbi.nlm.nih.gov/pmc/blobs/cfa6/5593644/3a7dbaf7b829/oncotarget-08-57327-g001.jpg

文献AI研究员

20分钟写一篇综述,助力文献阅读效率提升50倍。

立即体验

用中文搜PubMed

大模型驱动的PubMed中文搜索引擎

马上搜索

文档翻译

学术文献翻译模型,支持多种主流文档格式。

立即体验