Suppr超能文献

提取物通过 NF-κB 激活和 Nrf2 反应减轻肠道上皮细胞的炎症和氧化应激。

Extract Attenuates Inflammation and Oxidative Stress in Intestinal Epithelial Cells via NF-κB Activation and Nrf2 Response.

机构信息

Department of Pharmacy, University of Salerno-Via Giovanni Paolo II, 132-84084 Fisciano-Salerno, Italy.

Giellepi S.p.A. Health Science Department, Via Benvenuto Cellini 37, 20851 Lissone (Monza Brianza), Italy.

出版信息

Int J Mol Sci. 2018 Mar 10;19(3):800. doi: 10.3390/ijms19030800.

Abstract

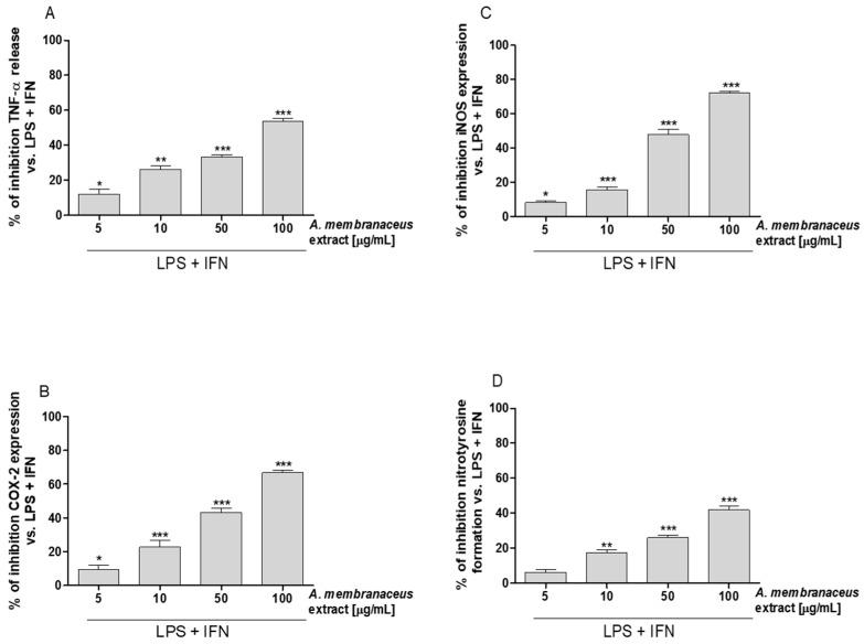
, dried root extract, also known as , is used in traditional Chinese medicine as a tonic remedy. Moreover, it has been reported that could attenuate intestinal inflammation; however, the underlying mechanism for its anti-inflammatory activity in intestinal epithelial cells (IECs) remains unclear. In this study, we evaluated extract (5-100 µg/mL) in a model of inflammation and oxidative stress for IECs. We showed that extract reduced the inflammatory response induced by lipopolysaccharide from (LPS) plus interferon-γ (IFN), decreasing tumor necrosis factor-α (TNF-α) release, cycloxygenase-2 (COX-2) and inducible nitric oxide synthase (iNOS) expression, nitrotyrosine formation, nuclear factor-κB (NF-κB) activation, and reactive oxygen species (ROS) release in the non-tumorigenic intestinal epithelial cell line (IEC-6). The antioxidant potential of extract was also evaluated in a model of hydrogen peroxide (H₂O₂)-induced oxidative stress in IEC-6, indicating that this extract reduced ROS release and increased nuclear factor (erythroid-derived 2)-like 2 (Nrf2) activation and the expression of antioxidant cytoprotective factors in these cells. The results contributed to clarify the mechanisms involved in extract-reduced inflammation and highlighted the potential use of this extract as an anti-inflammatory and antioxidant remedy for intestinal diseases.

摘要

,干根提取物,也被称为 ,在中国传统医学中被用作滋补疗法。此外,据报道, 可以减轻肠道炎症;然而,其在肠道上皮细胞 (IECs) 中的抗炎活性的潜在机制尚不清楚。在这项研究中,我们评估了 提取物(5-100 µg/mL)在 IECs 炎症和氧化应激模型中的作用。我们表明, 提取物可减轻脂多糖(LPS)加干扰素-γ(IFN)诱导的炎症反应,减少肿瘤坏死因子-α(TNF-α)释放、环氧化酶-2 (COX-2) 和诱导型一氧化氮合酶 (iNOS) 表达、硝基酪氨酸形成、核因子-κB (NF-κB) 激活和活性氧 (ROS) 在非致瘤性肠道上皮细胞系 (IEC-6) 中的释放。我们还在 IEC-6 过氧化氢 (H₂O₂) 诱导的氧化应激模型中评估了 提取物的抗氧化潜力,表明该提取物可减少 ROS 释放,增加核因子 (红细胞衍生 2)-样 2 (Nrf2) 激活和这些细胞中抗氧化细胞保护因子的表达。研究结果有助于阐明 提取物减轻炎症的机制,并强调了该提取物作为治疗肠道疾病的抗炎和抗氧化剂的潜在用途。

https://cdn.ncbi.nlm.nih.gov/pmc/blobs/4370/5877661/2a2b8e83a61c/ijms-19-00800-g001.jpg

文献AI研究员

20分钟写一篇综述,助力文献阅读效率提升50倍。

立即体验

用中文搜PubMed

大模型驱动的PubMed中文搜索引擎

马上搜索

文档翻译

学术文献翻译模型,支持多种主流文档格式。

立即体验