Suppr超能文献

通过基因共表达网络分析鉴定的乳腺癌预后基因

Prognostic Genes of Breast Cancer Identified by Gene Co-expression Network Analysis.

作者信息

Tang Jianing, Kong Deguang, Cui Qiuxia, Wang Kun, Zhang Dan, Gong Yan, Wu Gaosong

机构信息

Department of Thyroid and Breast Surgery, Zhongnan Hospital of Wuhan University, Wuhan, China.

Department of General Surgery, Zhongnan Hospital of Wuhan University, Wuhan, China.

出版信息

Front Oncol. 2018 Sep 11;8:374. doi: 10.3389/fonc.2018.00374. eCollection 2018.

Abstract

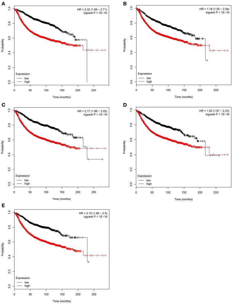
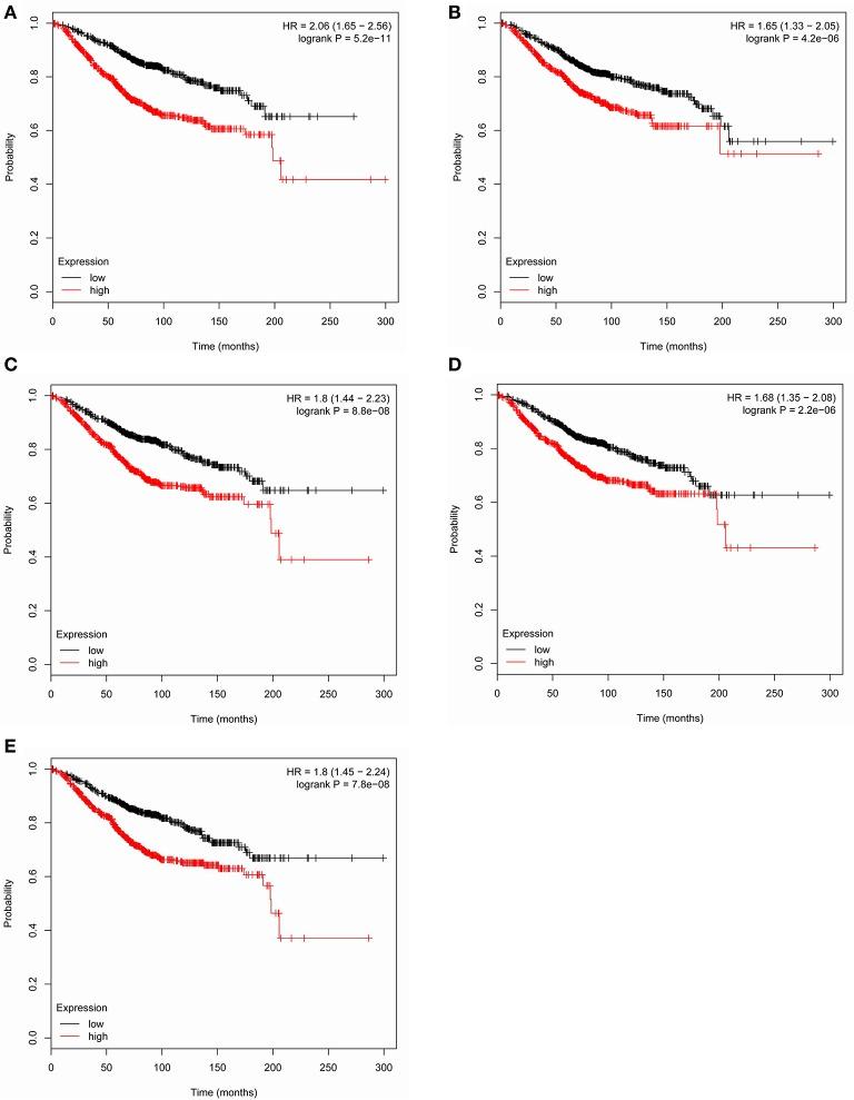
Breast cancer is one of the most common malignancies. The molecular mechanisms of its pathogenesis are still to be investigated. The aim of this study was to identify the potential genes associated with the progression of breast cancer. Weighted gene co-expression network analysis (WGCNA) was used to construct free-scale gene co-expression networks to explore the associations between gene sets and clinical features, and to identify candidate biomarkers. The gene expression profiles of GSE1561 were selected from the Gene Expression Omnibus (GEO) database. RNA-seq data and clinical information of breast cancer from TCGA were used for validation. A total of 18 modules were identified via the average linkage hierarchical clustering. In the significant module ( = 0.48), 42 network hub genes were identified. Based on the Cancer Genome Atlas (TCGA) data, 5 hub genes (CCNB2, FBXO5, KIF4A, MCM10, and TPX2) were correlated with poor prognosis. Receiver operating characteristic (ROC) curve validated that the mRNA levels of these 5 genes exhibited excellent diagnostic efficiency for normal and tumor tissues. In addition, the protein levels of these 5 genes were also significantly higher in tumor tissues compared with normal tissues. Among them, CCNB2, KIF4A, and TPX2 were further upregulated in advanced tumor stage. In conclusion, 5 candidate biomarkers were identified for further basic and clinical research on breast cancer with co-expression network analysis.

摘要

乳腺癌是最常见的恶性肿瘤之一。其发病机制的分子机制仍有待研究。本研究的目的是鉴定与乳腺癌进展相关的潜在基因。使用加权基因共表达网络分析(WGCNA)构建自由尺度基因共表达网络,以探索基因集与临床特征之间的关联,并鉴定候选生物标志物。从基因表达综合数据库(GEO)中选择GSE1561的基因表达谱。来自TCGA的乳腺癌RNA测序数据和临床信息用于验证。通过平均连锁层次聚类共鉴定出18个模块。在显著模块(=0.48)中,鉴定出42个网络中心基因。基于癌症基因组图谱(TCGA)数据,5个中心基因(CCNB2、FBXO5、KIF4A、MCM10和TPX2)与预后不良相关。受试者工作特征(ROC)曲线验证了这5个基因的mRNA水平对正常组织和肿瘤组织具有优异的诊断效率。此外,与正常组织相比,这5个基因在肿瘤组织中的蛋白水平也显著更高。其中,CCNB2、KIF4A和TPX2在肿瘤晚期进一步上调。总之,通过共表达网络分析鉴定出5个候选生物标志物,用于乳腺癌的进一步基础和临床研究。

https://cdn.ncbi.nlm.nih.gov/pmc/blobs/6030/6141856/c4f6dabaca4f/fonc-08-00374-g0001.jpg

文献AI研究员

20分钟写一篇综述,助力文献阅读效率提升50倍。

立即体验

用中文搜PubMed

大模型驱动的PubMed中文搜索引擎

马上搜索

文档翻译

学术文献翻译模型,支持多种主流文档格式。

立即体验