Suppr超能文献

复发性艰难梭菌感染儿童粪便微生物群移植后的临床疗效和微生物组变化

Clinical Efficacy and Microbiome Changes Following Fecal Microbiota Transplantation in Children With Recurrent Clostridium Difficile Infection.

作者信息

Li Xiaolu, Gao Xuefeng, Hu Hui, Xiao Yongmei, Li Dan, Yu Guangjun, Yu Dongbao, Zhang Ting, Wang Yizhong

机构信息

Department of Gastroenterology, Hepatology and Nutrition, Shanghai Children's Hospital, Shanghai Jiao Tong University, Shanghai, China.

Shenzhen University General Hospital, Shenzhen, China.

出版信息

Front Microbiol. 2018 Nov 2;9:2622. doi: 10.3389/fmicb.2018.02622. eCollection 2018.

Abstract

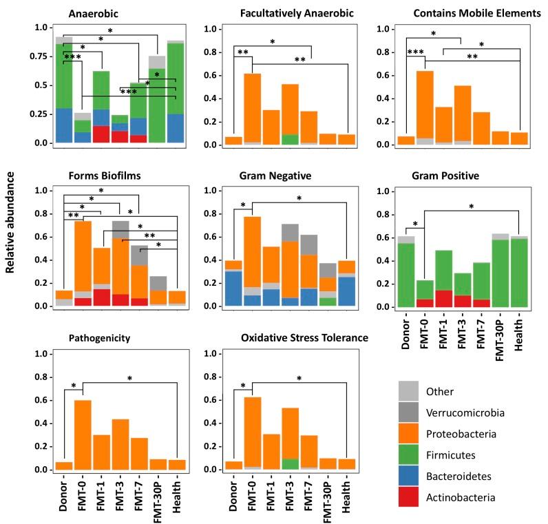
Fecal microbiota transplantation (FMT) has been shown as an effective treatment for recurrent clostridium difficile infection (RCDI) in adults. In this study, we aim to evaluate the clinical efficacy of FMT in treating children with RCDI, and explore fecal microbiota changes during FMT treatment. A total of 11 RCDI subjects with a median age of 3.5 years were enrolled in this single-center prospective pilot study. All patients were cured (11/11, 100%) by FMT either through upper gastrointestinal tract route with a nasointestinal tube (13/16, 81.2%) or lower gastrointestinal tract route with a rectal tube (3/16, 18.8%). The cure rate of single FMT was 63.6% (7/11), and 4 (4/11, 36.4%) cases were performed with 2 or 3 times of FMT. Mild adverse events were reported in 4 children (4/11, 36.4%), including transient diarrhea, mild abdominal pain, transient fever and vomit. Gut microbiota composition analysis of 59 fecal samples collected from 34 participants (9 RCDI children, 9 donors and 16 health controls) showed that the diversity was lower in pediatric RCDI patients before FMT than the healthy controls and donors, and fecal microbial community of pre-FMT samples ( diversity) was apart from that of healthy controls and donors. No significant differences in diversity, diversity or phylogenetic distance were detected between donors and healthy controls. Both the richness and diversity of gut microbiota were improved in the pediatric RCDI patients after FMT, and the bacteria community was shifted closer to the donor and healthy control group. Furthermore, FMT re-directed gut microbiome functions of pediatric RCDI toward a health state. Our results indicate that it is safe and tolerant to use FMT in treating pediatric RCDI. FMT shifted the gut microbiome composition and function in children with RCDI toward a healthy state.

摘要

粪便微生物群移植(FMT)已被证明是治疗成人复发性艰难梭菌感染(RCDI)的有效方法。在本研究中,我们旨在评估FMT治疗儿童RCDI的临床疗效,并探讨FMT治疗期间粪便微生物群的变化。本单中心前瞻性试点研究共纳入11名RCDI受试者,中位年龄为3.5岁。所有患者通过鼻肠管经上消化道途径(13/16,81.2%)或经直肠管经下消化道途径(3/16,18.8%)进行FMT后均治愈(11/11,100%)。单次FMT的治愈率为63.6%(7/11),4例(4/11,36.4%)患者进行了2次或3次FMT。4名儿童(4/11,36.4%)报告了轻度不良事件,包括短暂性腹泻、轻度腹痛、短暂性发热和呕吐。对从34名参与者(9名RCDI儿童、9名供体和16名健康对照)收集的59份粪便样本进行的肠道微生物群组成分析表明,FMT前儿科RCDI患者的多样性低于健康对照和供体,FMT前样本的粪便微生物群落(多样性)与健康对照和供体不同。供体与健康对照之间在α多样性、β多样性或系统发育距离方面未检测到显著差异。FMT后儿科RCDI患者肠道微生物群的丰富度和多样性均得到改善,细菌群落向供体和健康对照组转变。此外,FMT使儿科RCDI的肠道微生物组功能转向健康状态。我们的结果表明,使用FMT治疗儿科RCDI是安全且耐受性良好的。FMT使RCDI儿童的肠道微生物组组成和功能向健康状态转变。

https://cdn.ncbi.nlm.nih.gov/pmc/blobs/35f9/6224514/5a45f7b0390f/fmicb-09-02622-g001.jpg

文献AI研究员

20分钟写一篇综述,助力文献阅读效率提升50倍。

立即体验

用中文搜PubMed

大模型驱动的PubMed中文搜索引擎

马上搜索

文档翻译

学术文献翻译模型,支持多种主流文档格式。

立即体验