Suppr超能文献

在稻田土壤中使用稻渣时,黑碳释放的养分最高,砷释放最低。

Black carbon yields highest nutrient and lowest arsenic release when using rice residuals in paddy soils.

机构信息

Environmental Geochemistry, Bayreuth Center for Ecology and Environmental Research (BayCEER), University Bayreuth, Universitätsstraße 30, 95447, Bayreuth, Germany.

Department of Soil Science, Bangladesh Agricultural University, Mymensingh, 2202, Bangladesh.

出版信息

Sci Rep. 2018 Nov 19;8(1):17004. doi: 10.1038/s41598-018-35414-3.

Abstract

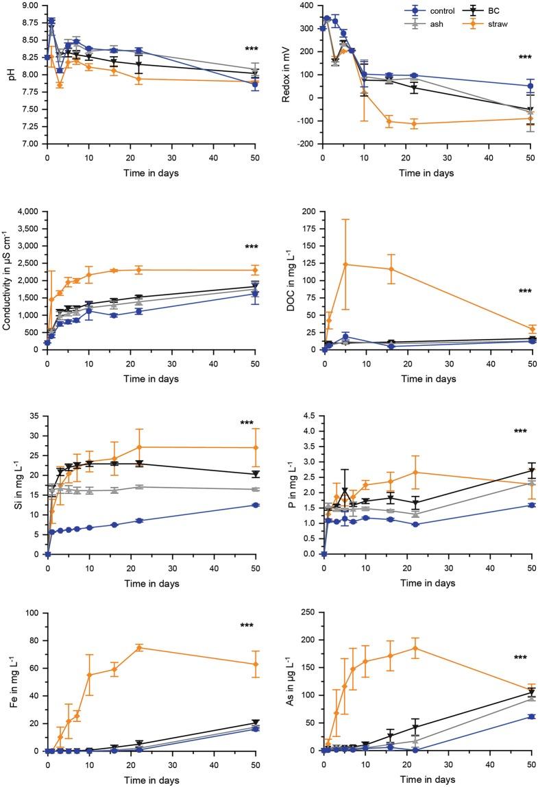
Rice straw increasingly remains on the fields for nutrient supply to the next generation of crop plants. It can be applied either fresh or after burning to black carbon or ash. A central concern during rice cultivation is accumulation of carcinogenic arsenic and the question arises how much rice straw application contributes to nutrient versus arsenic supply in paddy fields. Laboratory incubation experiments were performed to assess the effect of rice straw, black carbon and ash on element mobilization. Our experiments showed initially higher silicon and phosphorus release from black carbon compared to fresh straw amendments. However, more re-sorption to soil lead to finally slightly lower pore water concentrations for black carbon versus fresh straw amendments. Highest arsenic, iron, manganese and dissolved organic carbon concentrations were observed after fresh rice straw application. Black carbon and ash application lead to only minor increases of arsenic compared to controls without amendments. Overall, for silicon and phosphorus the soil acts as sink while for iron and arsenic it was the main source. In summary, burning of rice straw to black carbon prior to application seems to yield a high increase in desired nutrient and a decrease in undesired arsenic mobilization in paddy soils.

摘要

稻草越来越多地留在田间,为下一代作物提供养分。它可以新鲜使用,也可以在燃烧后变成黑碳或灰分。在水稻种植过程中,一个核心关注点是致癌砷的积累,问题是稻草的应用在多大程度上为稻田提供养分和砷。实验室培养实验评估了稻草、黑碳和灰分对元素迁移的影响。我们的实验最初表明,与新鲜稻草相比,黑碳中硅和磷的释放更高。然而,更多的再吸收导致最终黑碳相对于新鲜稻草的土壤中孔水中的浓度略低。新鲜稻草应用后,砷、铁、锰和溶解有机碳浓度最高。与未添加对照相比,黑碳和灰分的应用仅导致砷的轻微增加。总体而言,对于硅和磷,土壤是汇,而对于铁和砷,它是主要的源。总之,在应用前将稻草燃烧成黑碳似乎可以在增加所需养分的同时减少稻田中砷的迁移。

https://cdn.ncbi.nlm.nih.gov/pmc/blobs/e684/6242850/dc3f91fe356a/41598_2018_35414_Fig1_HTML.jpg

文献AI研究员

20分钟写一篇综述,助力文献阅读效率提升50倍。

立即体验

用中文搜PubMed

大模型驱动的PubMed中文搜索引擎

马上搜索

文档翻译

学术文献翻译模型,支持多种主流文档格式。

立即体验