Suppr超能文献

非梗阻性无精子症男性经皮附睾或睾丸精子抽吸术取精失败的风险预测模型。

A risk prediction model of sperm retrieval failure with fine needle aspiration in males with non-obstructive azoospermia.

机构信息

West China School of Public Health and Healthy Food Evaluation Research Center, Sichuan University, Chengdu, Sichuan, China.

Human Sperm Bank, West China Second University Hospital of Sichuan University, Chengdu, Sichuan, China.

出版信息

Hum Reprod. 2019 Feb 1;34(2):200-208. doi: 10.1093/humrep/dey366.

Abstract

STUDY QUESTION

Can we predict the risk of sperm retrieval failure among men with non-obstructive azoospermia (NOA) before they undergo fine needle aspiration (FNA)?

SUMMARY ANSWER

Our model, which includes FSH level, age and testicular volume as variables, can predict the risk of sperm retrieval failure with FNA.

WHAT IS KNOWN ALREADY

Combined with ICSI, testicular sperm aspiration (TESA) can enable patients with NOA to have their own genetic offspring. Nearly all reproductive medicine centres in China have applied FNA, but approximately half of patients with NOA experience testicular sperm retrieval failure. Nevertheless, the models developed to predict the likelihood of obtaining spermatozoa with testicular sperm extraction (TESE) cannot accurately predict sperm retrieval, and few of these models have been sufficiently validated.

STUDY DESIGN, SIZE, DURATION: This study involved three cohorts including 597 men with NOA. From 1 January 2015 to 31 July 2017, a retrospective cohort of 317 males with NOA who underwent FNA procedures at a university affiliated hospital were included to build a risk prediction model of sperm retrieval failure with FNA. Then, from 25 October 2017 to 31 March 2018, two prospective cohorts of 61 and 219 males with NOA from the same hospital and one other reproductive specialist hospital respectively, were recruited to validate the risk prediction model.

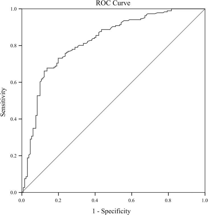
PARTICIPANTS/MATERIALS, SETTING, METHODS: All men with NOA undergoing their first TESE procedure as part of a fertility treatment were included. The primary end-point was the presence of one or more spermatozoa (regardless of their motility) obtained with FNA. A binary multivariable logistic model was built to predict the risk of sperm retrieval failure after TESA using the dataset from the retrospective cohort. A cut-off value for risk was calculated with receiver operating characteristic (ROC) curve analysis. Two validation sets from the prospective cohort were used to validate the risk prediction model by measures including prediction accuracy and the true positive rate.

MAIN RESULTS AND THE ROLE OF CHANCE

A total of 327 (54.8%) males with NOA experienced sperm retrieval failure with FNA. FSH level, age and testicular volume were included in the prediction model for sperm retrieval failure risk. The model had an AUC of 82.3% (95% CI: 77.6-87.1%) and a cut-off value of 64.61% with a sensitivity of 0.677 and specificity of 0.863 for predicted risk. The predictive accuracies were 85.25 and 83.56% in the external validation sets from two centres. Specifically, 85.71 and 85.15% of NOA patients from two centres that experienced sperm retrieval failure were correctly identified using our model.

LIMITATIONS, REASONS FOR CAUTION: A small proportion of males with NOA in whom sperm were successfully retrieved with FNA were misclassified; therefore, TESA techniques with higher sperm retrieval rates may be attempted in patients with high predicted risks of sperm retrieval failure rather than terminating the efforts to produce a genetic offspring. In addition, the ability to achieve a live birth using sperm retrieved with FNA was not tested in this study.

WIDER IMPLICATIONS OF THE FINDINGS

We would recommend the use of micro-TESE for men with NOA and a high predicted risk of FNA failure.

STUDY FUNDING/COMPETING INTEREST(S): This study was partly supported by National Key R&D Program of China (No. 2017YFC0907305), the National Natural Science Foundation of China (No.81803332), Sichuan Science & Technology Program (No. 2018SZ0144, 2016SZ0066, 2018SZ0284 and 2018FZ0043), Chengdu Science & Technology Bureau (No. 2018-YF05-01265-SN), Postdoctoral Research foundation of Sichuan University (No. 2018SCU12012) and West China Second University Hospital of Sichuan University (No. kx027). There are no competing interests related to this study.

TRIAL REGISTRATION NUMBER

Not applicable.

摘要

研究问题

我们能否在男性接受细针抽吸(FNA)之前预测非梗阻性无精子症(NOA)患者的精子提取失败风险?

总结答案

我们的模型包括 FSH 水平、年龄和睾丸体积作为变量,可以预测 FNA 时精子提取失败的风险。

已知情况

结合 ICSI,睾丸精子抽吸(TESA)可以使 NOA 患者拥有自己的遗传后代。中国几乎所有的生殖医学中心都应用了 FNA,但大约一半的 NOA 患者经历了睾丸精子提取失败。然而,用于预测睾丸精子提取(TESE)获得精子可能性的模型不能准确预测精子提取,而且这些模型中很少有经过充分验证的。

研究设计、大小、持续时间:这项研究包括三个队列,共 597 名 NOA 男性。2015 年 1 月 1 日至 2017 年 7 月 31 日,回顾性队列纳入了 317 名在大学附属医院接受 FNA 手术的 NOA 男性,建立了 FNA 时精子提取失败风险的预测模型。然后,从 2017 年 10 月 25 日至 2018 年 3 月 31 日,来自同一医院和另一家生殖专家医院的两个前瞻性队列分别招募了 61 名和 219 名 NOA 男性,验证风险预测模型。

参与者/材料、设置、方法:所有接受 TESE 作为生育治疗一部分的 NOA 男性均纳入研究。主要终点是通过 FNA 获得一个或多个精子(无论其活力如何)。使用回顾性队列中的数据集,使用二元多变量逻辑模型预测 TESA 后精子提取失败的风险。通过接收者操作特征(ROC)曲线分析计算风险的截断值。使用两个前瞻性队列的验证集通过预测准确性和真阳性率等措施来验证风险预测模型。

主要结果和机会的作用

327 名(54.8%)NOA 男性经历了 FNA 时的精子提取失败。FSH 水平、年龄和睾丸体积被纳入预测模型中。该模型的 AUC 为 82.3%(95%CI:77.6-87.1%),截断值为 64.61%,预测风险的灵敏度为 0.677,特异性为 0.863。在来自两个中心的外部验证集中,预测准确率分别为 85.25%和 83.56%。具体来说,两个中心中经历精子提取失败的 85.71%和 85.15%的 NOA 患者被我们的模型正确识别。

局限性、谨慎的原因:少数 FNA 成功提取精子的 NOA 男性被错误分类;因此,对于预测精子提取失败风险较高的患者,可能会尝试使用精子提取率较高的 TESA 技术,而不是终止产生遗传后代的努力。此外,本研究未测试使用 FNA 提取的精子是否能实现活产。

研究的广泛意义

我们建议对 NOA 且预测 FNA 失败风险较高的男性使用微 TESE。

研究资助/利益冲突:本研究部分由国家重点研发计划(No.2017YFC0907305)、国家自然科学基金(No.81803332)、四川省科技计划(No.2018SZ0144、2016SZ0066、2018SZ0284 和 2018FZ0043)、成都市科技局(No.2018-YF05-01265-SN)、四川大学博士后研究基金(No.2018SCU12012)和四川大学华西第二医院(No.kx027)资助。本研究无利益冲突。

临床试验注册号

不适用。

https://cdn.ncbi.nlm.nih.gov/pmc/blobs/b022/6343465/cd4bab132169/dey366f01.jpg

文献AI研究员

20分钟写一篇综述,助力文献阅读效率提升50倍。

立即体验

用中文搜PubMed

大模型驱动的PubMed中文搜索引擎

马上搜索

文档翻译

学术文献翻译模型,支持多种主流文档格式。

立即体验