Suppr超能文献

人类骨骼肌合成代谢、肥大和表观遗传记忆中的比较转录组和甲基组分析。

Comparative Transcriptome and Methylome Analysis in Human Skeletal Muscle Anabolism, Hypertrophy and Epigenetic Memory.

机构信息

Stem Cells, Ageing & Molecular Physiology Unit, Exercise Metabolism & Adaptation Research Group, Research Institute for Sport and Exercise Sciences, Liverpool John Moores University, Liverpool, UK.

Institute for Science and Technology in Medicine, Faculty of Medicine, Keele University, Keele, UK.

出版信息

Sci Rep. 2019 Mar 12;9(1):4251. doi: 10.1038/s41598-019-40787-0.

Abstract

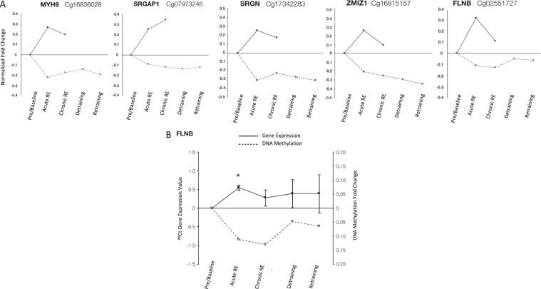
Transcriptome wide changes in human skeletal muscle after acute (anabolic) and chronic resistance exercise (RE) induced hypertrophy have been extensively determined in the literature. We have also recently undertaken DNA methylome analysis (850,000 + CpG sites) in human skeletal muscle after acute and chronic RE, detraining and retraining, where we identified an association between DNA methylation and epigenetic memory of exercise induced skeletal muscle hypertrophy. However, it is currently unknown as to whether all the genes identified in the transcriptome studies to date are also epigenetically regulated at the DNA level after acute, chronic or repeated RE exposure. We therefore aimed to undertake large scale bioinformatical analysis by pooling the publicly available transcriptome data after acute (110 samples) and chronic RE (181 samples) and comparing these large data sets with our genome-wide DNA methylation analysis in human skeletal muscle after acute and chronic RE, detraining and retraining. Indeed, after acute RE we identified 866 up- and 936 down-regulated genes at the expression level, with 270 (out of the 866 up-regulated) identified as being hypomethylated, and 216 (out of 936 downregulated) as hypermethylated. After chronic RE we identified 2,018 up- and 430 down-regulated genes with 592 (out of 2,018 upregulated) identified as being hypomethylated and 98 (out of 430 genes downregulated) as hypermethylated. After KEGG pathway analysis, genes associated with 'cancer' pathways were significantly enriched in both bioinformatic analysis of the pooled transcriptome and methylome datasets after both acute and chronic RE. This resulted in 23 (out of 69) and 28 (out of 49) upregulated and hypomethylated and 12 (out of 37) and 2 (out of 4) downregulated and hypermethylated 'cancer' genes following acute and chronic RE respectively. Within skeletal muscle tissue, these 'cancer' genes predominant functions were associated with matrix/actin structure and remodelling, mechano-transduction (e.g. PTK2/Focal Adhesion Kinase and Phospholipase D- following chronic RE), TGF-beta signalling and protein synthesis (e.g. GSK3B after acute RE). Interestingly, 51 genes were also identified to be up/downregulated in both the acute and chronic RE pooled transcriptome analysis as well as significantly hypo/hypermethylated after acute RE, chronic RE, detraining and retraining. Five genes; FLNB, MYH9, SRGAP1, SRGN, ZMIZ1 demonstrated increased gene expression in the acute and chronic RE transcriptome and also demonstrated hypomethylation in these conditions. Importantly, these 5 genes demonstrated retained hypomethylation even during detraining (following training induced hypertrophy) when exercise was ceased and lean mass returned to baseline (pre-training) levels, identifying them as genes associated with epigenetic memory in skeletal muscle. Importantly, for the first time across the transcriptome and epigenome combined, this study identifies novel differentially methylated genes associated with human skeletal muscle anabolism, hypertrophy and epigenetic memory.

摘要

文献中广泛报道了人类骨骼肌在急性(合成代谢)和慢性阻力运动(RE)诱导肥大后转录组的广泛变化。我们最近还对急性和慢性 RE、减训和再训后人类骨骼肌的 DNA 甲基组进行了分析(850,000 个以上 CpG 位点),发现 DNA 甲基化与运动诱导的骨骼肌肥大的表观遗传记忆之间存在关联。然而,目前尚不清楚在急性、慢性或重复 RE 暴露后,迄今为止在转录组研究中确定的所有基因是否也在 DNA 水平上受到表观遗传调控。因此,我们旨在通过汇集急性(110 个样本)和慢性 RE(181 个样本)的公开转录组数据,并将这些大数据集与我们在急性和慢性 RE、减训和再训后人类骨骼肌的全基因组 DNA 甲基化分析进行大规模生物信息学分析。事实上,在急性 RE 后,我们在表达水平上鉴定了 866 个上调和 936 个下调基因,其中 270 个(866 个上调基因中的)被鉴定为低甲基化,216 个(936 个下调基因中的)被鉴定为高甲基化。在慢性 RE 后,我们鉴定了 2018 个上调和 430 个下调基因,其中 592 个(2018 个上调基因中的)被鉴定为低甲基化,98 个(430 个下调基因中的)被鉴定为高甲基化。在 KEGG 途径分析中,与“癌症”途径相关的基因在急性和慢性 RE 后 pooled 转录组和甲基化组数据的生物信息学分析中均显著富集。这导致急性和慢性 RE 后分别有 23 个(69 个中)和 28 个(49 个中)上调和低甲基化,以及 12 个(37 个中)和 2 个(4 个中)下调和高甲基化的“癌症”基因。在骨骼肌组织中,这些“癌症”基因的主要功能与基质/肌动蛋白结构和重塑、机械转导(例如慢性 RE 后的 PTK2/粘着斑激酶和磷脂酶 D)、TGF-β信号转导和蛋白质合成(例如急性 RE 后的 GSK3B)有关。有趣的是,在急性和慢性 RE pooled 转录组分析中,还有 51 个基因被鉴定为上调/下调,并且在急性 RE 后显著低甲基化/高甲基化。FLNB、MYH9、SRGAP1、SRGN、ZMIZ1 这 5 个基因在急性和慢性 RE 转录组中均表现出基因表达增加,并且在这些条件下表现出低甲基化。重要的是,即使在停止运动(在训练诱导的肥大后)并使瘦体重恢复到基线(训练前)水平时,这些 5 个基因也表现出持续的低甲基化,将它们鉴定为与骨骼肌中的表观遗传记忆相关的基因。重要的是,这是首次在转录组和表观基因组的联合研究中,确定了与人类骨骼肌合成代谢、肥大和表观遗传记忆相关的新型差异甲基化基因。

https://cdn.ncbi.nlm.nih.gov/pmc/blobs/3bcb/6414679/a358651b8778/41598_2019_40787_Fig1_HTML.jpg

文献AI研究员

20分钟写一篇综述,助力文献阅读效率提升50倍。

立即体验

用中文搜PubMed

大模型驱动的PubMed中文搜索引擎

马上搜索

文档翻译

学术文献翻译模型,支持多种主流文档格式。

立即体验