Suppr超能文献

在一家肉类加工设施中持续存在4年的单核细胞增生李斯特菌菌株的特征

Characteristics of Listeria Monocytogenes Strains Persisting in a Meat Processing Facility over a 4-Year Period.

作者信息

Stoller Andrea, Stevens Marc J A, Stephan Roger, Guldimann Claudia

机构信息

Institute for Food Safety and Hygiene, Vetsuisse Faculty, University of Zurich, 8057 Zurich, Switzerland.

出版信息

Pathogens. 2019 Mar 7;8(1):32. doi: 10.3390/pathogens8010032.

Abstract

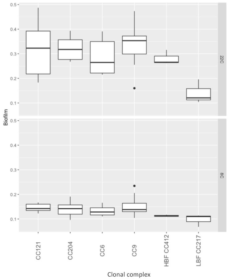
can persist in food production facilities, resulting in serious threats to consumers due to the high mortality associated with listeriosis, especially in the very young, old and pregnant. We subtyped 124 strains of isolated from a meat processing facility in Switzerland by serotyping, multi locus sequence typing (MLST) typing and whole genome sequencing. We then analyzed their ability to form biofilms and their resistance to the disinfectants benzalkonium chloride (BC) and peracetic acid (PAA). The genotyping results of the strains showed that several clonal populations of belonging to CC9, CC204 and CC121 had persisted in this meat processing facility for at least four years. All of the strains showed biofilm forming capacity comparable to a known high biofilm forming strain. Known efflux pumps for BC were present in CC204, CC9 () and CC121 () strains, while strains from other CC showed very low minimal inhibitory concentrations (MICs) for BC. For PAA, minimal bactericidal concentrations of 1.2⁻1.6% for 20 min and minimal inhibitory concentrations between 0.1 and 0.2% were observed. These values were close to or above the recommended concentration for use (0.5⁻1%), suggesting that PAA might be ineffective at controlling in this and potentially other meat processing facilities.

摘要

可在食品生产设施中持续存在,由于与李斯特菌病相关的高死亡率,对消费者构成严重威胁,尤其是对非常年幼、年老和怀孕的人群。我们通过血清分型、多位点序列分型(MLST)和全基因组测序对从瑞士一家肉类加工设施分离出的124株菌株进行了亚型分析。然后,我们分析了它们形成生物膜的能力以及对消毒剂苯扎氯铵(BC)和过氧乙酸(PAA)的抗性。菌株的基因分型结果表明,属于CC9、CC204和CC121的几个克隆群体已在该肉类加工设施中持续存在至少四年。所有菌株的生物膜形成能力与已知的高生物膜形成菌株相当。CC204、CC9()和CC121()菌株中存在已知的BC外排泵,而来自其他CC的菌株对BC的最低抑菌浓度(MIC)非常低。对于PAA,观察到20分钟的最低杀菌浓度为1.2⁻1.6%,最低抑菌浓度在0.1%至0.2%之间。这些值接近或高于推荐使用浓度(0.5⁻1%),表明PAA在控制该设施以及可能的其他肉类加工设施中的方面可能无效。

https://cdn.ncbi.nlm.nih.gov/pmc/blobs/1b61/6471029/c0974f02f9f8/pathogens-08-00032-g001.jpg

文献AI研究员

20分钟写一篇综述,助力文献阅读效率提升50倍。

立即体验

用中文搜PubMed

大模型驱动的PubMed中文搜索引擎

马上搜索

文档翻译

学术文献翻译模型,支持多种主流文档格式。

立即体验