Suppr超能文献

fractalkine 通过 Wnt/β-连环蛋白通路参与脂多糖诱导的急性肾损伤小鼠模型中的足细胞损伤。

Fractalkine is Involved in Lipopolysaccharide-Induced Podocyte Injury through the Wnt/β-Catenin Pathway in an Acute Kidney Injury Mouse Model.

机构信息

Department of Nephrology, Affiliated Hospital of Youjiang Medical University for Nationalities, No.18 Zhongshan Road II, Baise, 533000, Guangxi Zhuang Autonomous Region, China.

出版信息

Inflammation. 2019 Aug;42(4):1287-1300. doi: 10.1007/s10753-019-00988-1.

Abstract

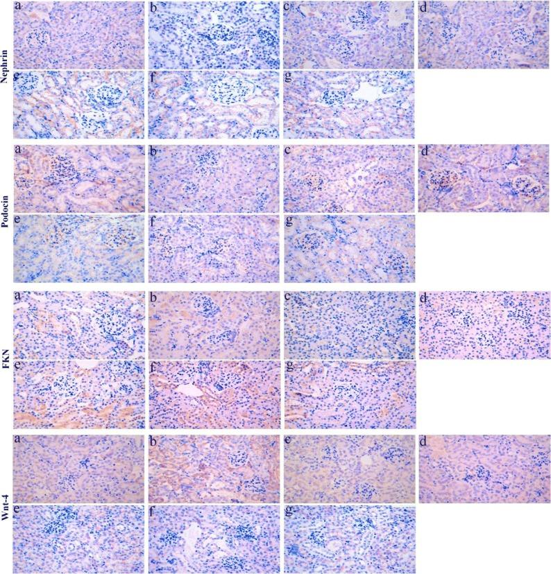
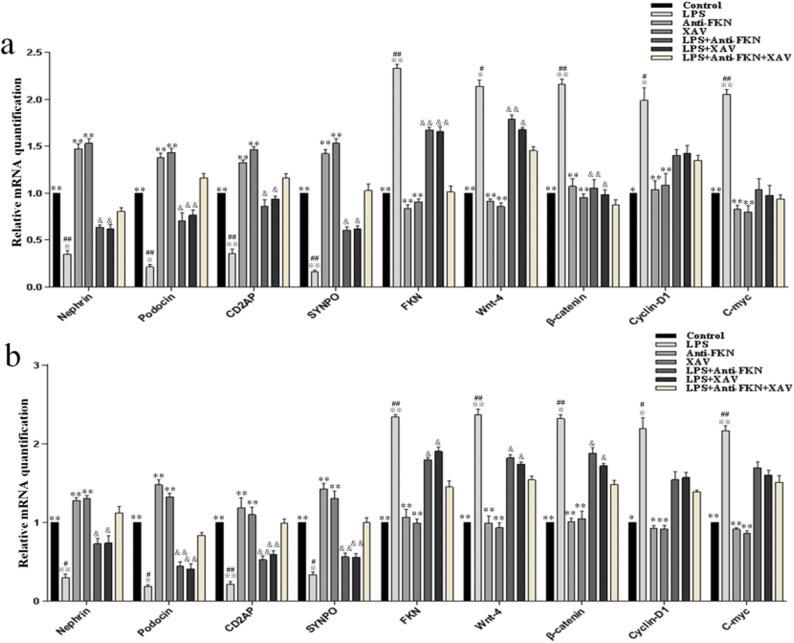
Injury to podocytes leads to proteinuria, a hallmark of most glomerular diseases as well as being associated with the progression of kidney disease. Activation of the Wnt/β-catenin pathway is associated with the pathogenesis of podocyte dysfunction and can play a role in renal injury. Furthermore, the expression of fractalkine (FKN) induced by lipopolysaccharides (LPS) is also one of crucial inflammation factors closely related to renal tissue damage. The aim of this study is to explore the mechanism of LPS-induced FKN expression leading to podocyte injury and contribute to acute kidney injury (AKI) through regulation of Wnt/β-catenin pathway. An AKI model was established for in vivo experiments and blood was collected for serum BUN and Cr measurement, and histopathological features of the kidneys were studied by PASM and IHC staining. For in vitro experiments, a mouse podocyte cell line was stimulated with different concentrations of LPS for 24 and 48 h after which podocyte viability and apoptosis of cells were evaluated. The expression of podocyte-specific markers, FKN and Wnt/β-catenin pathway mRNA and protein was detected in mice and cells by using qRT-PCR and western blotting. LPS induced the expression of FKN and activation of the Wnt/β-catenin pathway, leading to a decrease of podocyte-specific proteins which resulted in poor renal pathology and dysfunction in the AKI mouse model. Moreover, LPS treatment significantly decreased cell viability and induced podocyte apoptosis in a dose-dependent manner that causes changes in the expression of podocyte-specific proteins through activation of FKN and the Wnt/β-catenin pathway. Thus, the expression of FKN and Wnt/β-catenin pathway by LPS is closely associated with podocyte damage or loss and could therefore account for progressive AKI. Our findings indicate that LPS induce podocyte injury and contribute to the pathogenesis of AKI by upregulating the expression of FKN and Wnt/β-catenin pathway.

摘要

足细胞损伤导致蛋白尿,这是大多数肾小球疾病的标志,也与肾脏疾病的进展有关。Wnt/β-catenin 途径的激活与足细胞功能障碍的发病机制有关,并在肾损伤中发挥作用。此外,脂多糖(LPS)诱导的 fractalkine(FKN)的表达也是与肾组织损伤密切相关的关键炎症因子之一。本研究旨在探讨 LPS 诱导的 FKN 表达导致足细胞损伤的机制,并通过调节 Wnt/β-catenin 途径导致急性肾损伤(AKI)。建立 AKI 动物模型进行体内实验,采集血液用于血清 BUN 和 Cr 测定,PASM 和 IHC 染色研究肾脏的组织病理学特征。进行体外实验,用不同浓度的 LPS 刺激小鼠足细胞系 24 和 48 h 后,评估足细胞活力和细胞凋亡。通过 qRT-PCR 和 Western blot 检测小鼠和细胞中足细胞特异性标志物、FKN 和 Wnt/β-catenin 途径的 mRNA 和蛋白表达。LPS 诱导 FKN 的表达和 Wnt/β-catenin 途径的激活,导致足细胞特异性蛋白减少,导致 AKI 小鼠模型中肾脏病理和功能不良。此外,LPS 处理以剂量依赖性方式显著降低细胞活力并诱导足细胞凋亡,通过激活 FKN 和 Wnt/β-catenin 途径导致足细胞特异性蛋白的表达发生变化。因此,LPS 通过上调 FKN 和 Wnt/β-catenin 途径的表达与足细胞损伤或丢失密切相关,从而导致进行性 AKI。我们的研究结果表明,LPS 通过上调 FKN 和 Wnt/β-catenin 途径的表达诱导足细胞损伤并有助于 AKI 的发病机制。

https://cdn.ncbi.nlm.nih.gov/pmc/blobs/d448/6647365/528813ff85bd/10753_2019_988_Fig1_HTML.jpg

文献AI研究员

20分钟写一篇综述,助力文献阅读效率提升50倍。

立即体验

用中文搜PubMed

大模型驱动的PubMed中文搜索引擎

马上搜索

文档翻译

学术文献翻译模型,支持多种主流文档格式。

立即体验