Suppr超能文献

新型循环 miRNA 标志物用于胰腺肿瘤的早期检测。

Novel Circulating miRNA Signatures for Early Detection of Pancreatic Neoplasia.

机构信息

Gastrointestinal & Pancreatic Oncology Group, Centro de Investigación Biomédica en Red de Enfermedades Hepáticas y Digestivas (CIBEREHD)/Hospital Clínic of Barcelona/Institut d'Investigacions Biomèdiques August Pi i Sunyer (IDIBAPS), University of Barcelona, Barcelona, Catalonia, Spain.

Bioinformatics Platform, CIBEREHD, Barcelona, Spain.

出版信息

Clin Transl Gastroenterol. 2019 Apr;10(4):e00029. doi: 10.14309/ctg.0000000000000029.

Abstract

OBJECTIVES

Pancreatic ductal adenocarcinoma (PDAC) presents the lowest survival rate of all cancers because only 6% of patients reach five-year survival. Alterations in the expression of several microRNAs (miRNAs) occur in the tumor of PDAC and in preneoplastic lesions as the called intraductal papillary mucinous neoplasm (IPMN). Here, we aimed at identifying which miRNAs are significantly altered in liquid biopsies from patients with PDAC and IPMN to find new noninvasive biomarkers for early detection of PDAC.

METHODS

We analyzed by real-time quantitative reverse transcription-PCR (qRT-PCR) the expression of 17 circulating miRNAs, previously found to be significantly overexpressed in tissue pancreatic neoplasms, in a set of 182 plasma samples (94 PDAC, 19 IPMN, 18 chronic pancreatitis, and 51 disease-free controls). Then, we analyzed CA19.9 levels in the same plasma set, and we assessed the diagnostic values of differentially expressed miRNAs, CA19.9, and all possible combinations.

RESULTS

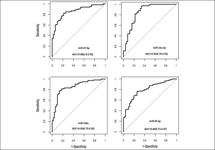
Of note, 16, 14, and 9 miRNAs were significantly increased in PDAC, IPMN, and chronic pancreatitis, respectively, compared with control plasmas. miR-21-5p, miR-33a-3p, miR-320a, and miR-93-5p showed the highest discriminating capacity for pancreatic neoplasia (PDAC or IPMN) with an area under the receiver operating characteristic curve (AUC) of 0.86, 0.85, 0.85, and 0.80, respectively. 2-miRNA combinations improved these performances reaching AUC = 0.90 for "miR-33a-3p+miR-320a." Addition of CA19.9 increased the diagnostic potential of miRNA signatures even further achieving an AUC of 0.95 (93% sensitivity and 85% specificity) for the combination of "miR-33a-3p+miR-320a+CA19.9."

CONCLUSIONS

Novel signatures combining miRNAs and CA19.9 could be used as noninvasive biomarkers for early detection of PDAC.

摘要

目的

胰腺导管腺癌 (PDAC) 的生存率是所有癌症中最低的,因为只有 6%的患者能达到五年生存率。几种 microRNA (miRNA) 的表达改变发生在 PDAC 的肿瘤和称为导管内乳头状黏液性肿瘤 (IPMN) 的癌前病变中。在这里,我们旨在确定在 PDAC 和 IPMN 患者的液体活检中哪些 miRNA 发生了显著改变,以寻找用于早期检测 PDAC 的新的非侵入性生物标志物。

方法

我们通过实时定量逆转录聚合酶链反应 (qRT-PCR) 分析了 17 种循环 miRNA 的表达,这些 miRNA 之前在组织胰腺肿瘤中被发现显著过表达,在一组 182 个血浆样本中(94 个 PDAC、19 个 IPMN、18 个慢性胰腺炎和 51 个无病对照)。然后,我们在同一血浆组中分析了 CA19.9 水平,并评估了差异表达的 miRNA、CA19.9 及其所有可能组合的诊断价值。

结果

值得注意的是,与对照血浆相比,PDAC、IPMN 和慢性胰腺炎中分别有 16、14 和 9 种 miRNA 显著增加。miR-21-5p、miR-33a-3p、miR-320a 和 miR-93-5p 对胰腺肿瘤(PDAC 或 IPMN)具有最高的区分能力,其受试者工作特征曲线下面积 (AUC) 分别为 0.86、0.85、0.85 和 0.80。2- miRNA 组合提高了这些性能,达到 AUC = 0.90 的“miR-33a-3p+miR-320a”。添加 CA19.9 甚至进一步提高了 miRNA 特征的诊断潜力,达到 AUC = 0.95(93%的敏感性和 85%的特异性)的“miR-33a-3p+miR-320a+CA19.9”组合。

结论

结合 miRNA 和 CA19.9 的新型标志物可作为 PDAC 早期检测的非侵入性生物标志物。

https://cdn.ncbi.nlm.nih.gov/pmc/blobs/a3f9/6602779/154bd6e4667a/ct9-10-e00029-g001.jpg

文献AI研究员

20分钟写一篇综述,助力文献阅读效率提升50倍。

立即体验

用中文搜PubMed

大模型驱动的PubMed中文搜索引擎

马上搜索

文档翻译

学术文献翻译模型,支持多种主流文档格式。

立即体验