Suppr超能文献

小檗碱缓解淀粉样蛋白诱导的线粒体功能障碍和突触丢失。

Berberine Alleviates Amyloid -Induced Mitochondrial Dysfunction and Synaptic Loss.

机构信息

Beijing Area Major Laboratory of Protection and Utilization of Traditional Chinese Medicine, Beijing Normal University, Beijing 100088, China.

Engineering Research Center of Natural Medicine, Ministry of Education, Beijing Normal University, Beijing 100088, China.

出版信息

Oxid Med Cell Longev. 2019 May 2;2019:7593608. doi: 10.1155/2019/7593608. eCollection 2019.

Abstract

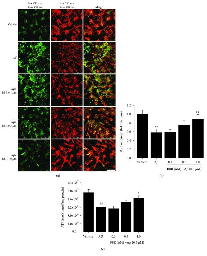
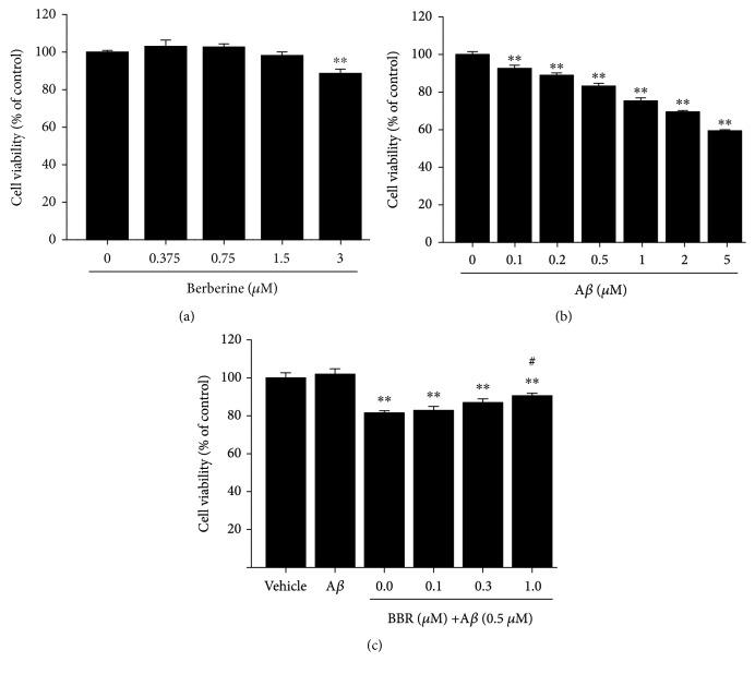
Synaptic structural and functional damage is a typical pathological feature of Alzheimer's disease (AD). Normal axonal mitochondrial function and transportation are vital to synaptic function and plasticity because they are necessary for maintaining cellular energy supply and regulating calcium and redox signalling as well as synaptic transmission and vesicle release. Amyloid- (A) accumulation is another pathological hallmark of AD that mediates synaptic loss and dysfunction by targeting mitochondria. Therefore, it is important to develop strategies to protect against synaptic mitochondrial damage induced by A. The present study examined the beneficial effects of berberine, a natural isoquinoline alkaloid extracted from the traditional medicinal plant , on A-induced mitochondrial and synaptic damage in primary cultured hippocampal neurons. We demonstrate that berberine alleviates axonal mitochondrial abnormalities by preserving the mitochondrial membrane potential and preventing decreases in ATP, increasing axonal mitochondrial density and length, and improving mitochondrial motility and trafficking in cultured hippocampal neurons. Although the underlying protective mechanism remains to be elucidated, the data suggest that the effects of berberine were in part related to its potent antioxidant activity. These findings highlight the neuroprotective and specifically mitoprotective effects of berberine treatment under conditions of A enrichment.

摘要

突触结构和功能损伤是阿尔茨海默病(AD)的典型病理特征。正常轴突线粒体的功能和运输对突触功能和可塑性至关重要,因为它们是维持细胞能量供应和调节钙和氧化还原信号以及突触传递和囊泡释放所必需的。淀粉样蛋白(A)的积累是 AD 的另一个病理标志,它通过靶向线粒体介导突触丧失和功能障碍。因此,开发预防 A 诱导的突触线粒体损伤的策略非常重要。本研究探讨了小檗碱(一种从传统药用植物中提取的天然异喹啉生物碱)对原代培养海马神经元中 A 诱导的线粒体和突触损伤的有益作用。我们证明小檗碱通过维持线粒体膜电位和防止 ATP 减少、增加轴突线粒体密度和长度以及改善线粒体运动和运输来减轻轴突线粒体异常。尽管潜在的保护机制仍有待阐明,但数据表明小檗碱的作用部分与其强大的抗氧化活性有关。这些发现强调了在 A 富集条件下小檗碱治疗的神经保护和特异性线粒体保护作用。

https://cdn.ncbi.nlm.nih.gov/pmc/blobs/f14a/6525905/13e3d295c3d8/OMCL2019-7593608.001.jpg

文献AI研究员

20分钟写一篇综述,助力文献阅读效率提升50倍。

立即体验

用中文搜PubMed

大模型驱动的PubMed中文搜索引擎

马上搜索

文档翻译

学术文献翻译模型,支持多种主流文档格式。

立即体验