Suppr超能文献

短杆菌肽 S 对耐甲氧西林金黄色葡萄球菌和肠球菌、持续性和生物膜细胞的超高活性。

Supreme activity of gramicidin S against resistant, persistent and biofilm cells of staphylococci and enterococci.

机构信息

Karlsruhe Institute of Technology (KIT), Institute of Organic Chemistry (IOC), Karlsruhe, 76131, Germany.

KIT, Institute of Biological Interfaces (IBG-2), Karlsruhe, 76021, Germany.

出版信息

Sci Rep. 2019 Nov 29;9(1):17938. doi: 10.1038/s41598-019-54212-z.

Abstract

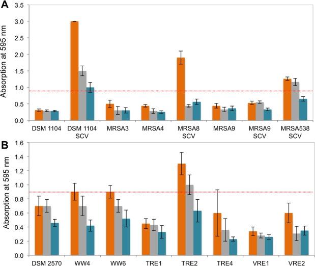
Three promising antibacterial peptides were studied with regard to their ability to inhibit the growth and kill the cells of clinical strains of Staphylococcus aureus, Enterococcus faecalis and Enterococcus faecium. The multifunctional gramicidin S (GS) was the most potent, compared to the membranotropic temporin L (TL), being more effective than the innate-defence regulator IDR-1018 (IDR). These activities, compared across 16 strains as minimal bactericidal and minimal inhibitory concentrations (MIC), are independent of bacterial resistance pattern, phenotype variations and/or biofilm-forming potency. For S. aureus strains, complete killing is accomplished by all peptides at 5 × MIC. For E. faecalis strains, only GS exhibits a rapid bactericidal effect at 5 × MIC, while TL and IDR require higher concentrations. The biofilm-preventing activities of all peptides against the six strains with the largest biofilm biomass were compared. GS demonstrates the lowest minimal biofilm inhibiting concentrations, whereas TL and IDR are consistently less effective. In mature biofilms, only GS completely kills the cells of all studied strains. We compare the physicochemical properties, membranolytic activities, model pharmacokinetics and eukaryotic toxicities of the peptides and explain the bactericidal, antipersister and antibiofilm activities of GS by its elevated stability, pronounced cell-penetration ability and effective utilization of multiple modes of antibacterial action.

摘要

三种有前景的抗菌肽因其抑制临床金黄色葡萄球菌、粪肠球菌和屎肠球菌生长和杀灭细胞的能力而被研究。多功能短杆菌素 S(GS)比膜转导素 TL 更有效,与先天防御调节剂 IDR-1018(IDR)相比,是最有效的。这些活性,通过最小杀菌浓度(MBC)和最小抑菌浓度(MIC)在 16 株细菌上进行比较,与细菌耐药模式、表型变异和/或生物膜形成能力无关。对于金黄色葡萄球菌株,所有肽在 5×MIC 时可完全杀灭。对于粪肠球菌株,只有 GS 在 5×MIC 时表现出快速杀菌作用,而 TL 和 IDR 需要更高的浓度。比较了所有肽对 6 株生物膜生物量最大的菌株的生物膜预防活性。GS 显示出最低的最小生物膜抑制浓度,而 TL 和 IDR 的效果始终较差。在成熟的生物膜中,只有 GS 能完全杀死所有研究菌株的细胞。我们比较了这些肽的物理化学性质、膜溶解活性、模型药代动力学和真核毒性,并通过其提高的稳定性、显著的细胞穿透能力和有效利用多种抗菌作用模式来解释 GS 的杀菌、抗持久和抗生物膜活性。

https://cdn.ncbi.nlm.nih.gov/pmc/blobs/04fa/6884456/dc7f420124af/41598_2019_54212_Fig1_HTML.jpg

文献AI研究员

20分钟写一篇综述,助力文献阅读效率提升50倍。

立即体验

用中文搜PubMed

大模型驱动的PubMed中文搜索引擎

马上搜索

文档翻译

学术文献翻译模型,支持多种主流文档格式。

立即体验