Suppr超能文献

循环游离 DNA 检测用于确定晚期神经母细胞瘤 MYCN 扩增状态的诊断准确性:系统评价和荟萃分析。

Diagnostic accuracy of circulating-free DNA for the determination of MYCN amplification status in advanced-stage neuroblastoma: a systematic review and meta-analysis.

机构信息

Division of Cellular and Molecular Pathology, Department of Pathology, University of Cambridge, Cambridge, UK.

Functional Genomics, Medicinal Science & Technology, GlaxoSmithKline, Stevenage, UK.

出版信息

Br J Cancer. 2020 Mar;122(7):1077-1084. doi: 10.1038/s41416-020-0740-y. Epub 2020 Feb 4.

Abstract

BACKGROUND

MYCN amplification (MNA) is the strongest indicator of poor prognosis in neuroblastoma (NB). This meta-analysis aims to determine the diagnostic accuracy of MNA analysis in circulating-free DNA (cfDNA) from advanced-stage NB patients.

METHODS

A systematic review of electronic databases was conducted to identify studies exploring the detection of MNA in plasma/serum cfDNA from NB patients at diagnosis using PCR methodology. Pooled estimates for sensitivity, specificity and diagnostic odds ratio (DOR) were calculated by conducting a bivariate/HSROC random-effects meta-analysis.

RESULTS

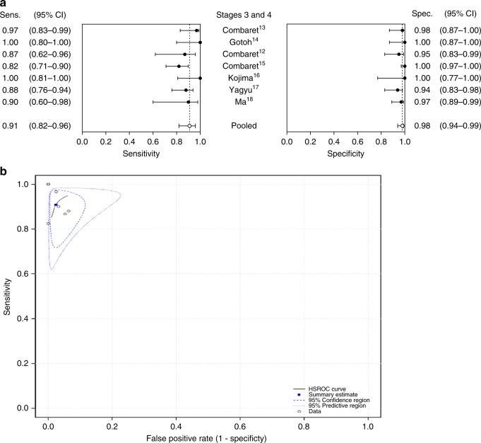
Seven studies, with a total of 529 advanced-stage patients, were eligible. The pooled sensitivity of cfDNA-based MNA analysis was 0.908 (95% CI, 0.818-0.956), the pooled specificity was 0.976 (0.940-0.991) and the DOR was 410.0 (-103.6 to 923.7). Sub-grouped by INSS stage, the sensitivity for stage 3 and 4 patients was 0.832 (0.677-0.921) and 0.930 (0.834-0.972), respectively. The specificity was 0.999 (0.109-1.000) and 0.974 (0.937-0.990), respectively, and the DOR was 7855.2 (-66267.0 to 81977.4) and 508.7 (-85.8 to 1103.2), respectively.

CONCLUSIONS

MNA analysis in cfDNA using PCR methodology represents a non-invasive approach to rapidly and accurately determine MNA status in patients with advanced-stage NB. Standardised methodology must be developed before this diagnostic test can enter the clinic.

摘要

背景

MYCN 扩增(MNA)是神经母细胞瘤(NB)预后不良的最强指标。本荟萃分析旨在确定 MNA 分析在晚期 NB 患者循环游离 DNA(cfDNA)中的诊断准确性。

方法

系统检索电子数据库,以确定使用聚合酶链反应(PCR)方法在 NB 患者诊断时检测血浆/血清 cfDNA 中 MNA 的研究。通过双变量/HSROC 随机效应荟萃分析计算敏感性、特异性和诊断比值比(DOR)的汇总估计值。

结果

符合条件的研究有 7 项,共 529 例晚期患者。基于 cfDNA 的 MNA 分析的汇总敏感性为 0.908(95%CI,0.818-0.956),特异性为 0.976(0.940-0.991),DOR 为 410.0(-103.6 至 923.7)。按 INSS 分期亚组,3 期和 4 期患者的敏感性分别为 0.832(0.677-0.921)和 0.930(0.834-0.972)。特异性分别为 0.999(0.109-1.000)和 0.974(0.937-0.990),DOR 分别为 7855.2(-66267.0 至 81977.4)和 508.7(-85.8 至 1103.2)。

结论

使用 PCR 方法的 cfDNA 中的 MNA 分析代表了一种非侵入性方法,可以快速准确地确定晚期 NB 患者的 MNA 状态。在该诊断测试进入临床之前,必须制定标准化方法。

https://cdn.ncbi.nlm.nih.gov/pmc/blobs/bc4a/7109036/8f0f1827b95d/41416_2020_740_Fig1_HTML.jpg

文献AI研究员

20分钟写一篇综述,助力文献阅读效率提升50倍。

立即体验

用中文搜PubMed

大模型驱动的PubMed中文搜索引擎

马上搜索

文档翻译

学术文献翻译模型,支持多种主流文档格式。

立即体验