Suppr超能文献

循环肿瘤DNA测序以确定儿科实体瘤患者的治疗反应并识别肿瘤异质性。

Circulating tumour DNA sequencing to determine therapeutic response and identify tumour heterogeneity in patients with paediatric solid tumours.

作者信息

Stankunaite Reda, George Sally L, Gallagher Lewis, Jamal Sabri, Shaikh Ridwan, Yuan Lina, Hughes Debbie, Proszek Paula Z, Carter Paul, Pietka Grzegorz, Heide Timon, James Chela, Tari Haider, Lynn Claire, Jain Neha, Portela Laura Rey, Rogers Tony, Vaidya Sucheta J, Chisholm Julia C, Carceller Fernando, Szychot Elwira, Mandeville Henry, Angelini Paola, Jesudason Angela B, Jackson Michael, Marshall Lynley V, Gatz Susanne A, Anderson John, Sottoriva Andrea, Chesler Louis, Hubank Michael

机构信息

Molecular Pathology Section, The Institute of Cancer Research, London, UK; Clinical Genomics, The Royal Marsden NHS Foundation, London, UK; Evolutionary Genomics and Modelling Lab, Centre for Evolution and Cancer, The Institute of Cancer Research, London, UK.

Paediatric Tumour Biology, Division of Clinical Studies, The Institute of Cancer Research, London, UK; Children and Young People's Unit, Royal Marsden NHS Foundation Trust, London, UK.

出版信息

Eur J Cancer. 2022 Feb;162:209-220. doi: 10.1016/j.ejca.2021.09.042. Epub 2021 Dec 18.

Abstract

OBJECTIVE

Clinical diagnostic sequencing of circulating tumour DNA (ctDNA) is well advanced for adult patients, but application to paediatric cancer patients lags behind.

METHODS

To address this, we have developed a clinically relevant (67 gene) NGS capture panel and accompanying workflow that enables sensitive and reliable detection of low-frequency genetic variants in cell-free DNA (cfDNA) from children with solid tumours. We combined gene panel sequencing with low pass whole-genome sequencing of the same library to inform on genome-wide copy number changes in the blood.

RESULTS

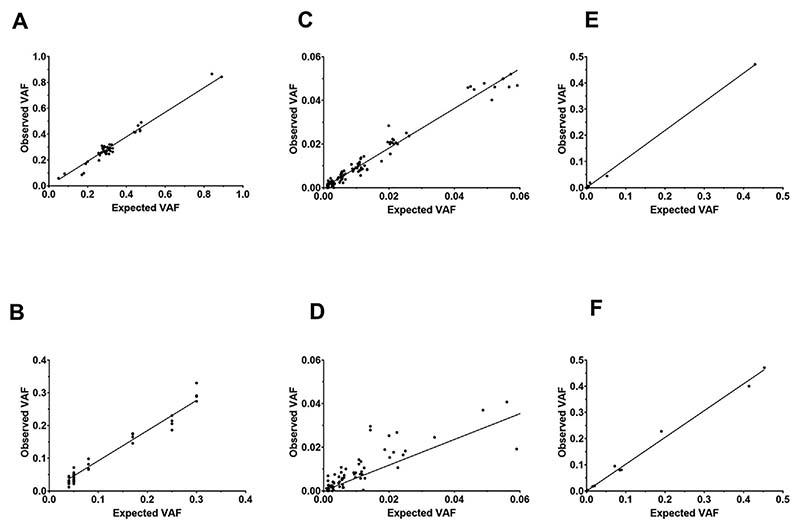
Analytical validity was evaluated using control materials, and the method was found to be highly sensitive (0.96 for SNVs and 0.97 for INDEL), specific (0.82 for SNVs and 0.978 for INDEL), repeatable (>0.93 [95% CI: 0.89-0.95]) and reproducible (>0.87 [95% CI: 0.87-0.95]). Potential for clinical application was demonstrated in 39 childhood cancer patients with a spectrum of solid tumours in which the single nucleotide variants expected from tumour sequencing were detected in cfDNA in 94.4% (17/18) of cases with active extracranial disease. In 13 patients, where serial samples were available, we show a close correlation between events detected in cfDNA and treatment response, demonstrate that cfDNA analysis could be a useful tool to monitor disease progression, and show cfDNA sequencing has the potential to identify targetable variants that were not detected in tumour samples.

CONCLUSIONS

This is the first pan-cancer DNA sequencing panel that we know to be optimised for cfDNA in children for blood-based molecular diagnostics in paediatric solid tumours.

摘要

目的

循环肿瘤DNA(ctDNA)的临床诊断测序在成年患者中已取得很大进展,但在儿科癌症患者中的应用却滞后。

方法

为解决这一问题,我们开发了一个具有临床相关性的(67基因)二代测序捕获试剂盒及配套流程,能够灵敏且可靠地检测实体瘤患儿游离DNA(cfDNA)中的低频基因变异。我们将基因panel测序与同一文库的低深度全基因组测序相结合,以了解血液中的全基因组拷贝数变化。

结果

使用对照材料评估了分析有效性,发现该方法具有高灵敏度(单核苷酸变异为0.96,插入缺失为0.97)、高特异性(单核苷酸变异为0.82,插入缺失为0.978)、可重复性(>0.93 [95%置信区间:0.89 - 0.95])和可再现性(>0.87 [95%置信区间:0.87 - 0.95])。在39例患有多种实体瘤的儿童癌症患者中证明了其临床应用潜力,其中94.4%(17/18)有颅外活动性疾病的病例在cfDNA中检测到了肿瘤测序预期的单核苷酸变异。在13例可获取系列样本的患者中,我们显示cfDNA中检测到的事件与治疗反应密切相关,证明cfDNA分析可能是监测疾病进展的有用工具,并表明cfDNA测序有潜力识别肿瘤样本中未检测到的可靶向变异。

结论

据我们所知,这是首个针对儿科实体瘤基于血液的分子诊断而优化用于儿童cfDNA的泛癌DNA测序试剂盒。

https://cdn.ncbi.nlm.nih.gov/pmc/blobs/9409/7617116/701b4c2fe1ec/EMS181146-f001.jpg

文献AI研究员

20分钟写一篇综述,助力文献阅读效率提升50倍。

立即体验

用中文搜PubMed

大模型驱动的PubMed中文搜索引擎

马上搜索

文档翻译

学术文献翻译模型,支持多种主流文档格式。

立即体验