Suppr超能文献

肝细胞癌潜在治疗靶点的鉴定。

Identification of Potentially Therapeutic Target Genes of Hepatocellular Carcinoma.

机构信息

College of Life Science, Henan Normal University, Xinxiang 453007, China.

Engineering Lab of Intelligence Business & Internet of Things, College of Computer and Information Engineering, Henan Normal University, Xinxiang 453007, China.

出版信息

Int J Environ Res Public Health. 2020 Feb 7;17(3):1053. doi: 10.3390/ijerph17031053.

Abstract

BACKGROUND

Hepatocellular carcinoma (HCC) is a major threat to public health. However, few effective therapeutic strategies exist. We aimed to identify potentially therapeutic target genes of HCC by analyzing three gene expression profiles.

METHODS

The gene expression profiles were analyzed with GEO2R, an interactive web tool for gene differential expression analysis, to identify common differentially expressed genes (DEGs). Functional enrichment analyses were then conducted followed by a protein-protein interaction (PPI) network construction with the common DEGs. The PPI network was employed to identify hub genes, and the expression level of the hub genes was validated via data mining the Oncomine database. Survival analysis was carried out to assess the prognosis of hub genes in HCC patients.

RESULTS

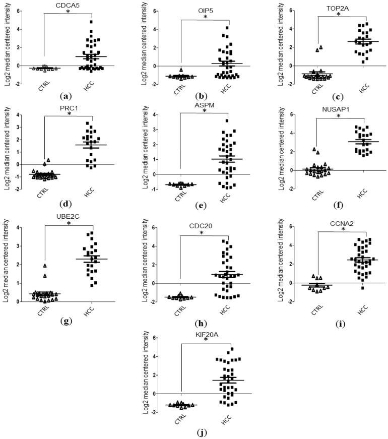
A total of 51 common up-regulated DEGs and 201 down-regulated DEGs were obtained after gene differential expression analysis of the profiles. Functional enrichment analyses indicated that these common DEGs are linked to a series of cancer events. We finally identified 10 hub genes, six of which (, , , , , and ) are reported as novel HCC hub genes. Data mining the Oncomine database validated that the hub genes have a significant high level of expression in HCC samples compared normal samples (-test, < 0.05). Survival analysis indicated that overexpression of the hub genes is associated with a significant reduction ( < 0.05) in survival time in HCC patients.

CONCLUSIONS

We identified six novel HCC hub genes that might be therapeutic targets for the development of drugs for some HCC patients.

摘要

背景

肝细胞癌(HCC)是对公众健康的主要威胁。然而,目前几乎没有有效的治疗策略。我们旨在通过分析三个基因表达谱来鉴定 HCC 的潜在治疗靶基因。

方法

使用 GEO2R,一种用于基因差异表达分析的交互式网络工具,分析基因表达谱,以鉴定常见的差异表达基因(DEGs)。然后进行功能富集分析,接着用常见的 DEGs 构建蛋白质-蛋白质相互作用(PPI)网络。利用 PPI 网络鉴定枢纽基因,并通过数据挖掘 Oncomine 数据库验证枢纽基因的表达水平。对 HCC 患者进行生存分析,以评估枢纽基因的预后。

结果

通过对这些图谱的基因差异表达分析,共获得 51 个上调的常见 DEG 和 201 个下调的 DEG。功能富集分析表明,这些常见的 DEG 与一系列癌症事件有关。我们最终鉴定出 10 个枢纽基因,其中 6 个(、、、、和)被报道为新的 HCC 枢纽基因。通过数据挖掘 Oncomine 数据库验证,与正常样本相比,枢纽基因在 HCC 样本中的表达水平显著升高(-检验, < 0.05)。生存分析表明,枢纽基因的过表达与 HCC 患者的生存时间显著缩短(<0.05)相关。

结论

我们鉴定出 6 个新的 HCC 枢纽基因,它们可能成为某些 HCC 患者开发药物的治疗靶点。

https://cdn.ncbi.nlm.nih.gov/pmc/blobs/f301/7037431/7f88ab17dba0/ijerph-17-01053-g001.jpg

文献AI研究员

20分钟写一篇综述,助力文献阅读效率提升50倍。

立即体验

用中文搜PubMed

大模型驱动的PubMed中文搜索引擎

马上搜索

文档翻译

学术文献翻译模型,支持多种主流文档格式。

立即体验