Suppr超能文献

镓-PSMA-HBED-CC PET/CT 成像在腺样囊性癌和唾液腺癌中的应用:一项 2 期影像学研究。

Ga-PSMA-HBED-CC PET/CT imaging for adenoid cystic carcinoma and salivary duct carcinoma: a phase 2 imaging study.

机构信息

Department of Medical Oncology, Radboud university medical center, Nijmegen, the Netherlands.

Department of Radiology and Nuclear Medicine, Radboud university medical center, Nijmegen, the Netherlands.

出版信息

Theranostics. 2020 Jan 12;10(5):2273-2283. doi: 10.7150/thno.38501. eCollection 2020.

Abstract

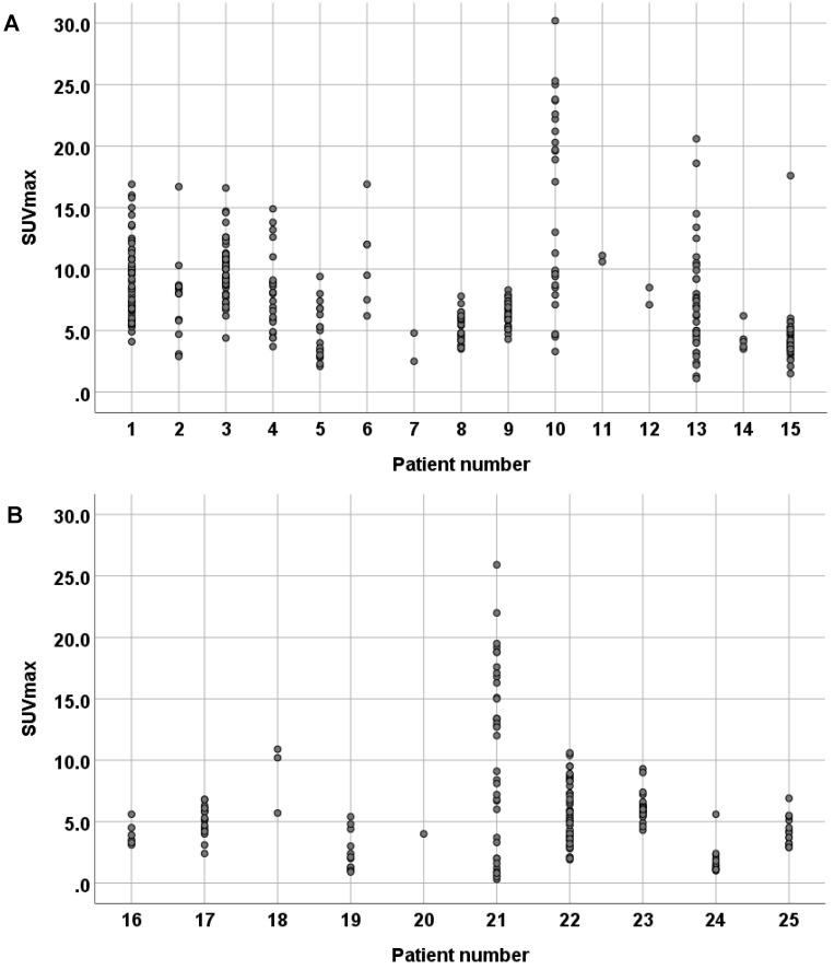
: Treatment options for recurrent and/or metastatic (R/M) adenoid cystic carcinoma (ACC) and salivary duct carcinoma (SDC), major subtypes of salivary gland cancer, are limited. Both tumors often show overexpression of prostate-specific membrane antigen (PSMA). In prostate cancer, PSMA-ligands labeled with Ga or Lu are used for imaging and therapy, respectively. Primary aim of this study in R/M ACC and SDC patients was to systematically investigate Ga-PSMA-uptake by PET/CT imaging to determine if PSMA radionuclide therapy could be a treatment option. : In a prospective phase II study, PET/CT imaging was performed 1 h post injection of Ga-PSMA-HBED-CC in 15 ACC patients and 10 SDC patients. Maximum standardized uptake values (SUV) were determined in tumor lesions. Immunohistochemical PSMA expression was scored in primary tumors and metastatic tissue. Standard imaging (MRI or CT) was performed for comparison. : In ACC patients, SUV ranged from 1.1 to 30.2 with a tumor/liver-ratio >1 in 13 out of 14 evaluable patients (93%). In SDC patients, SUV ranged from 0.3 to 25.9 with a tumor/liver-ratio >1 in 4 out of 10 patients (40%). We found a large intra-patient inter-metastatic variation in uptake of Ga-PSMA, and immunohistochemistry did not predict ligand uptake in ACC and SDC. Finally, PSMA-PET detected additional bone metastases compared to CT in 2 ACC patients with unexplained pain. : In 93% of ACC patients and 40% of SDC patients we detected relevant PSMA-ligand uptake, which warrants to study PSMA radionuclide therapy in these patients. Additionally, our data provide arguments for patient selection and treatment timing. Finally, PSMA-PET imaging has added diagnostic value compared to CT in selected patients.

摘要

治疗复发性和/或转移性(R/M)腺样囊性癌(ACC)和唾液腺癌(SDC)的选择有限,这两种肿瘤通常都表现出前列腺特异性膜抗原(PSMA)过表达。在前列腺癌中,Ga 或 Lu 标记的 PSMA 配体分别用于成像和治疗。本研究的主要目的是在 R/M ACC 和 SDC 患者中系统地研究 Ga-PSMA 摄取的 PET/CT 成像,以确定 PSMA 放射性核素治疗是否可以作为一种治疗选择。

在一项前瞻性 II 期研究中,在 15 例 ACC 患者和 10 例 SDC 患者中,在注射 Ga-PSMA-HBED-CC 后 1 小时进行 PET/CT 成像。在肿瘤病变中确定最大标准化摄取值(SUV)。在原发性肿瘤和转移性组织中对 PSMA 表达进行免疫组织化学评分。进行标准成像(MRI 或 CT)进行比较。

在 ACC 患者中,SUV 范围为 1.1 至 30.2,14 例可评估患者中有 13 例(93%)肿瘤/肝脏比值>1。在 SDC 患者中,SUV 范围为 0.3 至 25.9,10 例患者中有 4 例(40%)肿瘤/肝脏比值>1。我们发现 Ga-PSMA 摄取在患者间存在很大的转移灶内变异,并且在 ACC 和 SDC 中免疫组化并不能预测配体摄取。最后,在 2 例原因不明疼痛的 ACC 患者中,PSMA-PET 比 CT 检测到更多的骨转移。

在 93%的 ACC 患者和 40%的 SDC 患者中,我们检测到相关的 PSMA 配体摄取,这表明在这些患者中研究 PSMA 放射性核素治疗是合理的。此外,我们的数据为患者选择和治疗时机提供了依据。最后,在选定的患者中,PSMA-PET 成像比 CT 具有更高的诊断价值。

https://cdn.ncbi.nlm.nih.gov/pmc/blobs/6a5f/7019174/6400c8f96d66/thnov10p2273g001.jpg

文献AI研究员

20分钟写一篇综述,助力文献阅读效率提升50倍。

立即体验

用中文搜PubMed

大模型驱动的PubMed中文搜索引擎

马上搜索

文档翻译

学术文献翻译模型,支持多种主流文档格式。

立即体验