Suppr超能文献

基于 16S rRNA 基因分析揭示的细菌根际群落对污染土壤的修复作用。

Remediation of Crude Oil-Polluted Soil by the Bacterial Rhizosphere Community of Revealed by 16S rRNA Genes.

机构信息

Institute of Wetland Research, Chinese Academy of Forestry, Beijing 100091, China.

Beijing Key Laboratory of Wetland Services and Restoration, Beijing 100091, China.

出版信息

Int J Environ Res Public Health. 2020 Feb 25;17(5):1471. doi: 10.3390/ijerph17051471.

Abstract

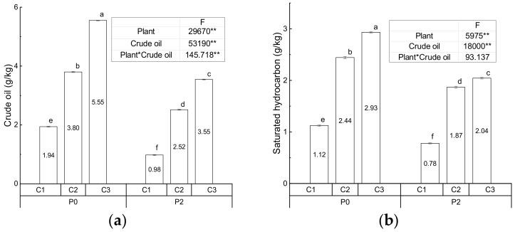
Crude oil pollution of soil is a serious environmental issue, and bioremediation using plants and microorganisms is a natural and sustainable method for its restoration. Pot incubation of a two-factor randomized block (plants with two levels, and crude oil with three levels) was designed to investigate the rhizosphere bacterial community of (L.) Pall. Crude oil contamination of soil was studied at different levels: 2 g/kg (low), 4 g/kg (medium), and 6 g/kg (high) levels. In this study, the physicochemical properties of the collected rhizosphere soil were analyzed. Moreover, the soil bacteria were further identified using the 16S rRNA gene. The effects of and crude oil and their interaction on the physiochemical properties of the soil and crude oil degradation were found to be significant. Crude oil significantly influenced the diversity and evenness of bacteria, while the effects of and interaction with crude oil were not significant. Proteobacteria were found to be dominant at the phylum level. Meanwhile, at the genera level, and increased significantly in the low and medium contamination treatment groups with , whereas and were prevalent in the high contamination treatment group. High crude oil contamination led to a significant decrease in the bacterial diversity in soil, while the effects of and its interaction were not significant. Despite the highest abundance of crude oil degradation bacteria, reduced crude oil degradation bacteria and increased bacteria related to sulfur, phosphorus, and nitrogen cycling in the low and high contamination group, whereas the opposite effect was observed for the medium contamination treatment group. The abundance of most crude oil degradation bacteria is negatively correlated with crude oil content. Nitrogen cycling bacteria are sensitive to the total nitrogen, total phosphorus, ammonia nitrogen, and nitrate nitrogen, and pH of the soil. Sulfur cycling bacteria are sensitive to aromatic hydrocarbons, saturated hydrocarbons, and asphaltene in soil. This research is helpful for further studying the mechanism of synergistic degradation by and bacteria.

摘要

土壤中石油污染是一个严重的环境问题,利用植物和微生物进行生物修复是恢复土壤的一种自然和可持续的方法。采用两因素随机区组(植物两个水平,原油三个水平)的盆栽实验,研究了(L.)Pall 的根际细菌群落。研究了不同水平的土壤原油污染:2 g/kg(低)、4 g/kg(中)和 6 g/kg(高)。本研究分析了采集的根际土壤的理化性质,并进一步利用 16S rRNA 基因对土壤细菌进行鉴定。发现和原油及其相互作用对土壤理化性质和原油降解的影响显著。原油显著影响了细菌的多样性和均匀度,而和原油的相互作用的影响不显著。在门水平上,变形菌门占优势。在属水平上,低和中污染处理组中,和显著增加,而在高污染处理组中, 和 则占优势。高原油污染导致土壤中细菌多样性显著下降,而和及其相互作用的影响不显著。尽管降解原油的细菌丰度最高,但在低和高污染组中, 降低了原油降解细菌并增加了与硫、磷和氮循环有关的细菌,而在中污染处理组中则观察到相反的效果。大多数原油降解细菌的丰度与原油含量呈负相关。氮循环细菌对土壤中的总氮、总磷、氨氮和硝酸盐氮以及 pH 值敏感。硫循环细菌对土壤中的芳烃、饱和烃和沥青质敏感。本研究有助于进一步研究和细菌协同降解的机制。

https://cdn.ncbi.nlm.nih.gov/pmc/blobs/ca46/7084840/d07486edc6f2/ijerph-17-01471-g001.jpg

文献AI研究员

20分钟写一篇综述,助力文献阅读效率提升50倍。

立即体验

用中文搜PubMed

大模型驱动的PubMed中文搜索引擎

马上搜索

文档翻译

学术文献翻译模型,支持多种主流文档格式。

立即体验