Suppr超能文献

多菌株乳酸菌接种对鸡细胞因子基因表达及抗体介导免疫反应的影响

Effects of Inoculation of Multi-Strain Lactobacilli on Cytokine Gene Expression and Antibody-Mediated Immune Responses in Chickens.

作者信息

Alizadeh Mohammadali, Shojadoost Bahram, Astill Jake, Taha-Abdelaziz Khaled, Karimi Seyed Hossein, Bavananthasivam Jegarubee, Kulkarni Raveendra R, Sharif Shayan

机构信息

Department of Pathobiology, Ontario Veterinary College, University of Guelph, Guelph, ON, Canada.

Department of Pathology, Faculty of Veterinary Medicine, Beni-Suef University, Beni Suef, Egypt.

出版信息

Front Vet Sci. 2020 Feb 28;7:105. doi: 10.3389/fvets.2020.00105. eCollection 2020.

Abstract

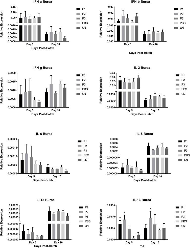
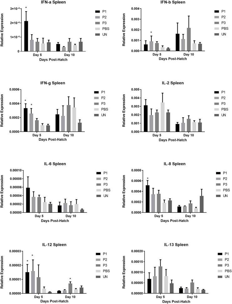
This study was conducted to investigate the effects of various doses of a multi-strain lactobacilli mixture (, and ) on the innate and adaptive immune responses in broiler chickens. At embryonic day eighteen, 200 eggs were injected with PBS, or three different doses of a multi-strain lactobacilli mixture (1 × 10, 1 × 10, and 1 × 10 CFU/egg, P1, P2, and P3 respectively) along with a group of negative control. On days 5 and 10 post-hatch, cecal tonsil, bursa of fabricius, and spleen were collected for gene expression and cellular analysis. On days 14 and 21 post-hatch, birds were immunized intramuscularly with both sheep red blood cells (SRBC) and keyhole limpet hemocyanin (KLH). Serum samples were collected on days 0, 7, 14, and 21 after primary immunization. The results demonstrated that lactobacilli inoculation increased the splenic expression of cytokines, including interferon (IFN) α, IFNβ, IFNγ, interleukin (IL)-8, and IL-12 on day 5 post-hatch compared to the control group (PBS). However, in cecal tonsils, lactobacilli treatment downregulated the expression of IL-6 on day 5 post-hatch and IL-2 and IL-8 on day 10 post-hatch. No significant differences were observed in the expression of cytokine genes in the bursa except for IL-13 which was upregulated in lactobacilli-treated groups P2 and P3 on days 5 and 10 post-hatch. Flow cytometry analysis showed that the percentage of KUL01, CD4 and CD8 splenocytes was not affected by treatments. In addition, no significant differences were observed for antibody titers against SRBC. However, lactobacilli treatment (P1, P2, and P3) was found to increase IgM titers on day 21 post-primary immunization compared to controls. Furthermore, injection of the highest dose of probiotics (1 × 10, P3) increased serum IgG titers against KLH on day 7 post-primary immunization. In conclusion, this study demonstrated that that administration of lactobacilli can improve antibody-mediated immune responses and differentially modulate cytokine expression in mucosal and systemic lymphoid tissues of chickens.

摘要

本研究旨在探讨不同剂量的多菌株乳酸菌混合物( 、 和 )对肉鸡先天免疫和适应性免疫反应的影响。在胚胎第18天,向200枚鸡蛋中注射磷酸盐缓冲盐水(PBS),或三种不同剂量的多菌株乳酸菌混合物(分别为1×10、1×10和1×10 CFU/枚鸡蛋,即P1、P2和P3),同时设一组阴性对照。在雏鸡出壳后第5天和第10天,采集盲肠扁桃体、法氏囊和脾脏进行基因表达和细胞分析。在雏鸡出壳后第14天和第21天,给鸡肌肉注射绵羊红细胞(SRBC)和钥孔戚血蓝蛋白(KLH)进行免疫。在初次免疫后的第0、7、14和21天采集血清样本。结果表明,与对照组(PBS)相比,乳酸菌接种在雏鸡出壳后第5天增加了脾脏中细胞因子的表达,包括干扰素(IFN)α、IFNβ、IFNγ、白细胞介素(IL)-8和IL-12。然而,在盲肠扁桃体中,乳酸菌处理在雏鸡出壳后第5天下调了IL-6的表达,在出壳后第10天下调了IL-2和IL-8的表达。除IL-13外,法氏囊中细胞因子基因的表达在处理组之间未观察到显著差异,IL-13在乳酸菌处理组P2和P3出壳后第5天和第10天上调。流式细胞术分析表明,KUL01、CD4和CD8脾细胞的百分比不受处理影响。此外,针对SRBC的抗体效价未观察到显著差异。然而,与对照组相比,乳酸菌处理(P1、P2和P3)在初次免疫后第21天增加了IgM效价。此外,注射最高剂量的益生菌(1×10,P3)在初次免疫后第7天增加了针对KLH的血清IgG效价。总之,本研究表明,乳酸菌的施用可改善抗体介导的免疫反应,并差异调节鸡黏膜和全身淋巴组织中的细胞因子表达。

https://cdn.ncbi.nlm.nih.gov/pmc/blobs/afc4/7058628/848e4e4eff7a/fvets-07-00105-g0001.jpg

文献AI研究员

20分钟写一篇综述,助力文献阅读效率提升50倍。

立即体验

用中文搜PubMed

大模型驱动的PubMed中文搜索引擎

马上搜索

文档翻译

学术文献翻译模型,支持多种主流文档格式。

立即体验