Suppr超能文献

马拉维基本医疗包的分布影响。

Distributional impact of the Malawian Essential Health Package.

机构信息

Inav, Berlin, Germany.

Health Economics and Policy Unit, College of Medicine, University of Malawi, Lilongwe, Malawi.

出版信息

Health Policy Plan. 2020 Jul 1;35(6):646-656. doi: 10.1093/heapol/czaa015.

Abstract

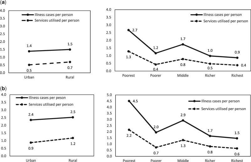
In low- and middle-income countries (LMICs), making the best use of scarce resources is essential to achieving universal health coverage. The design of health benefits packages creates the opportunity to select interventions on the basis of explicit objectives. Distributional cost-effectiveness analysis (DCEA) provides a framework to evaluate interventions based on two objectives: increasing population health and reducing health inequality. We conduct aggregate DCEA of potential health benefits package interventions to demonstrate the feasibility of this approach in LMICs, using the case of the Malawian health benefits package. We use publicly available survey and census data common to LMICs and describe what challenges we encountered and how we addressed them. We estimate that diseases targeted by the health benefits package are most prevalent in the poorest population quintile and least prevalent in the richest quintile. The survey data we use indicate socioeconomic patterns in intervention uptake that diminish the population health gain and inequality reduction from the package. We find that a similar set of interventions would be prioritized when impact on health inequality is incorporated alongside impact on overall population health. However, conclusions about the impact of individual interventions on health inequalities are sensitive to assumptions regarding the health opportunity cost, the utilization of interventions, the distribution of diseases across population groups and the level of aversion to inequality. Our results suggest that efforts to improve access to the Essential Health Package could be targeted to specific interventions to improve the health of the poorest fastest but that identifying these interventions is uncertain. This exploratory work has shown the potential for applying the DCEA framework to inform health benefits package design within the LMIC setting and to provide insight into the equity impact of a health benefits package.

摘要

在中低收入国家(LMICs),充分利用稀缺资源对于实现全民健康覆盖至关重要。医疗福利套餐的设计为基于明确目标选择干预措施提供了机会。基于人群的成本效益分析(DCEA)提供了一种根据两个目标评估干预措施的框架:提高人口健康水平和减少健康不平等。我们对潜在医疗福利套餐干预措施进行了总体 DCEA,以展示在 LMICs 中采用这种方法的可行性,使用马拉维医疗福利套餐的案例。我们使用了 LMICs 常见的公开可获得的调查和人口普查数据,并描述了我们遇到的挑战以及如何解决这些挑战。我们估计,医疗福利套餐针对的疾病在最贫困的五分之一人口中最为普遍,而在最富裕的五分之一人口中最为罕见。我们使用的调查数据表明,干预措施的社会经济模式在接受程度上存在差异,从而减少了套餐带来的人口健康收益和不平等减少。我们发现,当将对健康不平等的影响纳入对总体人口健康的影响时,类似的干预措施将被优先考虑。然而,关于个别干预措施对健康不平等影响的结论对健康机会成本、干预措施的利用、疾病在人群中的分布以及对不平等的厌恶程度等假设敏感。我们的结果表明,改善基本健康套餐获取途径的努力可以针对特定干预措施,以最快的速度改善最贫困人群的健康状况,但确定这些干预措施具有不确定性。这项探索性工作表明,在 LMIC 环境中应用 DCEA 框架来为医疗福利套餐设计提供信息并深入了解医疗福利套餐的公平影响具有潜力。

https://cdn.ncbi.nlm.nih.gov/pmc/blobs/2c2d/7294245/37428d301931/czaa015f1.jpg

文献AI研究员

20分钟写一篇综述,助力文献阅读效率提升50倍。

立即体验

用中文搜PubMed

大模型驱动的PubMed中文搜索引擎

马上搜索

文档翻译

学术文献翻译模型,支持多种主流文档格式。

立即体验